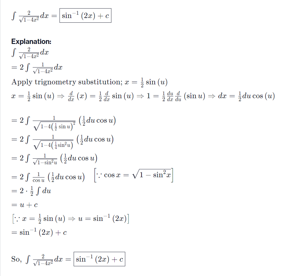
Question: Please briefly explain the solution and all steps, including substitution steps, triangles, and formulas used. Thank you! 2 1 4m Explanation: 2 1 4m 1
Please briefly explain the solution and all steps, including substitution steps, triangles, and formulas used. Thank you!


2 1 4m Explanation: 2 1 4m 1 sin 1 ('2m) c 1 sin (u) Apply trignometry substitution; sin (u) @) ld 1 du ( sin (u) -9 du kSin u) dx 1 1 (l du cos u) 140 sin u) 1 ( du cos u) sin2u) 1 (l du cos u) 1 du cos (u) 1 ( du cos u) cos u 2 cos x 1 sin x - sin (u) u = sin 1 (2m)) 1 2 sin so, f 2 sin
Step by Step Solution
There are 3 Steps involved in it
Get step-by-step solutions from verified subject matter experts
