Question: Please briefly explain the solution and all steps, including substitution steps, triangles, and formulas used. Thank you! J en ( + 202 ) dac sol
Please briefly explain the solution and all steps, including substitution steps, triangles, and formulas used. Thank you!



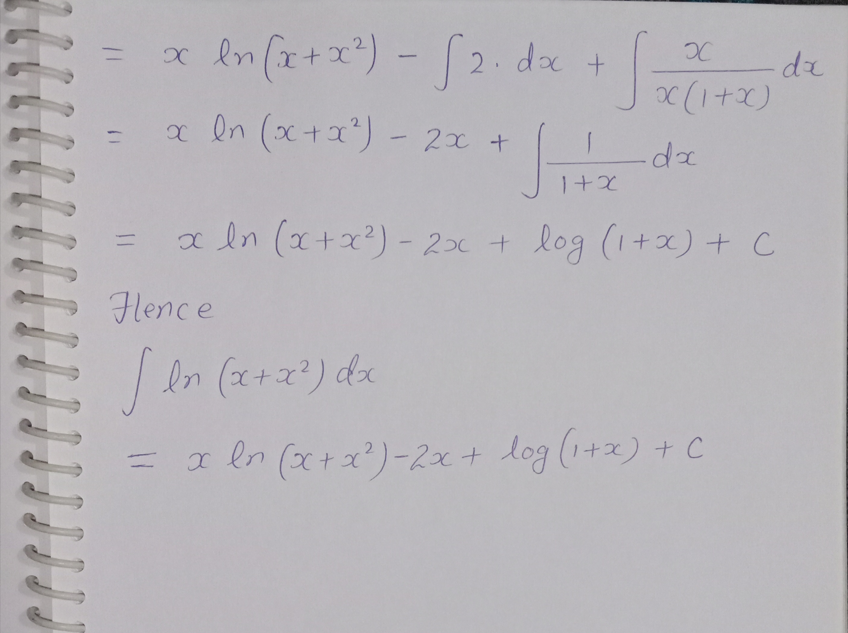
J en ( + 202 ) dac sol" we will integrate it by parts [ en ( 2c+ 202 ) . 1 doc I Integrating by parts, we get In (oct 3( 2 ) . c - - ac In ( oct 2 ( 2 ) - . (1+ 2 20 ) . ac doc oct 5 ( 2 = ac In ( oct o( 2 ) - 202 + 2 de 2 + 2 C 2 oc In ( or + 2 0 2 ) 20(2 + 2 + 20 - 2 dxx OC + 2C 2 JAdding and subtracting) = 2 In ( c+ 2 ( 2 ) - 2 ( 2 (2 + 20 ) - 2 dx oct 2 2 - Dc In ( 2C+ 2 ( 2 ) - 2 ( 2C + 20 ( 2C + 3(2 ) 2( + 2C 2- oc en (ac+ 2c2 ) - [ 2. doc + OC OC ( 1 + 20 ) - oc en ( 2C + 2( 2 ) - 20C + 1 doc = ac In ( 2c + 2 ( 2 ) - 20c + log ( 1+ 2c ) + C fence 1 In ( oct 2( 2 ) doc = a In ( oct 2(2 ) - 20c + log (1+20 ) + C
Step by Step Solution
There are 3 Steps involved in it
Get step-by-step solutions from verified subject matter experts
