Question: please check the general journal for me, and fill both statement of cash flow and analysis, I will vote only both are filled. During Year
please check the general journal for me, and fill both statement of cash flow and analysis, I will vote only both are filled.

During Year 9, Pacilio Security Services experienced the following transactions:
- Paid the salaries payable from Year 8.
- Paid $9,000 on May 2, Year 9, for one years office rent in advance.
- Purchased $425 of supplies on account.
- Purchased 145 alarm systems at a cost of $290 each. Paid cash for the purchase..
- After numerous attempts to collect from customers, wrote off $2,060 of uncollectible accounts receivable.
- Sold 130 alarm systems for $580 each plus sales tax of 5 percent. All sales were on account.
- Compute and record the cost of goods sold using the FIFO cost-flow method for the sale in transaction 6.
- Billed $107,000 of monitoring services for the year. Credit card sales amounted to $42,000, and the credit card company charged a 4 percent fee. The remaining $65,000 were sales on account. Sales tax is not charged on this service.
- Replenished the petty cash fund on June 30. The fund had $5 cash and has receipts of $60 for yard mowing, $15 for office supplies expense, and $17 for miscellaneous expenses.
- Collected the amount due from the credit card company.
- Paid the sales tax collected on $69,600 of the alarm sales.
- Paid installers and other employees a total of $65,000 for salaries for the year. Assume the Social Security tax rate is 6 percent and the Medicare tax rate is 1.5 percent. Federal income taxes withheld amounted to $7,500. Cash was paid for the net amount of salaries due.
- Pacilio now offers a one-year warranty on its alarm systems. Paid $1,950 in warranty repairs during the year.
- On September 1, borrowed $12,000 from State Bank. The note had an 8 percent interest rate and a one-year term to maturity.
- Collected $136,100 of accounts receivable during the year.
- Paid $15,000 of advertising expense during the year.
- Paid $7,200 of utilities expense for the year.
- Paid the payroll taxes, both the amounts withheld from the salaries plus the employer share of Social Security tax and Medicare tax, on $60,000 of the salaries plus $7,000 of the federal income tax that was withheld. (Unemployment taxes were not paid at this time.)
- Paid the accounts payable.
- Paid a dividend of $10,000 to the shareholders.
Adjustments
- There was $165 of supplies on hand at the end of the year.
- Recognized the expired rent for the office building for the year.
- Recognized uncollectible accounts expense for the year using the allowance method. The company revised its estimate of uncollectible accounts based on prior years experience. This year, Pacilio estimates that 2.75 percent of sales on account will not be collected.
- Recognized depreciation expense on the equipment and the van. The equipment has a five-year life and a $2,000 salvage value. The van has a four-year life and a $6,000 salvage value. The company uses double-declining-balance for the van and straight-line for the equipment. (A full years depreciation was taken in Year 8, the year of acquisition.)
- The alarm systems sold in transaction 6 were covered with a one-year warranty. Pacilio estimated that the warranty cost would be 3 percent of alarm sales.
- Recognized the accrued interest on the note payable at December 31, Year 9.
- The unemployment tax on salaries has not been paid. Recorded the accrued unemployment tax on the salaries for the year. The unemployment tax rate is 4.5 percent. ($14,000 of salaries is subject to this tax.)
- Recognized the employer Social Security and Medicare payroll tax that has not been paid on $5,000 of salaries expense.






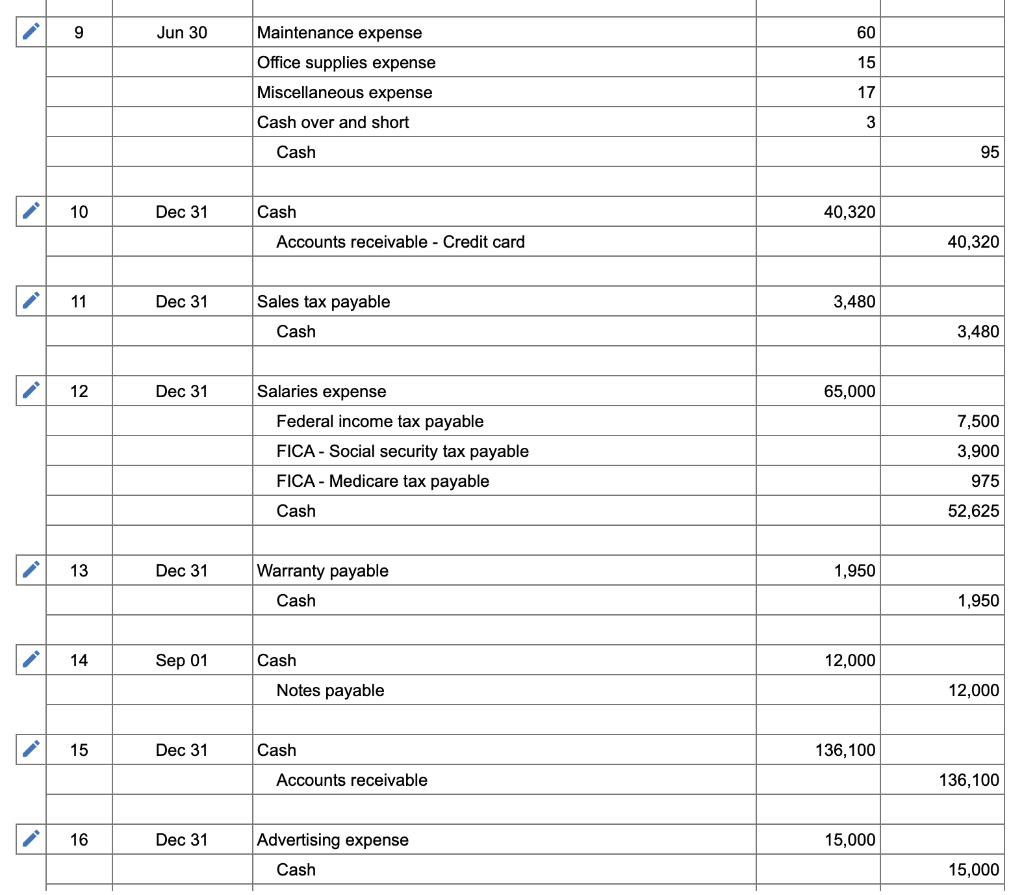
The account balances of Pacilio Security Services, Inc. as of January 1, Year 9, are shown here: Cash Petty cash Accounts receivable Allowance for doubtful accounts Supplies Prepaid rent Merchandise inventory (23 @ $280) Equipment Van Accumulated depreciation Salaries payable Common stock Retained earnings $93,380 100 21,390 2,485 180 3,000 6,440 9,000 27,000 14,900 1,500 50,000 91,605 No Date General Journal Debit Credit 1 Dec 31 Salaries payable 1,500 Cash 1,500 2 May 02 Prepaid rent 9,000 Cash 9,000 3 Dec 31 425 Supplies Cash 425 4 Dec 31 42,050 Merchandise inventory Cash 42,050 5 Dec 31 Allowance for doubtful accounts 2,060 Accounts receivable 2,060 6 Dec 31 Accounts receivable 79, 170 Alarm sales 75,400 3,770 Sales tax payable 7 Dec 31 37,470 Cost of goods sold Merchandise inventory 37,470 8 Dec 31 Accounts receivable - Credit card Accounts receivable 40,320 65,000 1,680 Credit card expense Monitoring service revenue 107,000 9 Jun 30 60 Maintenance expense Office supplies expense Miscellaneous expense 15 17 Cash over and short 3 Cash 95 10 Dec 31 Cash 40,320 Accounts receivable - Credit card 40,320 11 Dec 31 Sales tax payable 3,480 Cash 3,480 12 Dec 31 65,000 7,500 Salaries expense Federal income tax payable FICA - Social security tax payable FICA - Medicare tax payable 3,900 975 Cash 52,625 | 13 Dec 31 1,950 Warranty payable Cash 1,950 14 Sep 01 Cash 12,000 Notes payable 12,000 15 Dec 31 Cash 136,100 Accounts receivable 136,100 16 Dec 31 Advertising expense 15,000 Cash 15,000 17 Dec 31 Utilities expense 7,200 Cash 7,200 18 Dec 31 4,500 7,000 Payroll tax expense Federal income tax payable FICA - Social security tax payable FICA - Medicare tax payable 3,600 900 Cash 16,000 19 Dec 31 Accounts payable 425 Cash 425 20 Dec 31 Dividends 10,000 Cash 10,000 21 Dec 31 440 Supplies expense Supplies 440 | 22 Dec 31 9,000 Rent expense Prepaid rent 9,000 23 Dec 31 Uncollectible accounts expense 3,965 Allowance for doubtful accounts 3,965 24 Dec 31 8,150 Depreciation expense Accumulated depreciation 8,150 25 Dec 31 2,262 Warranty expense Warranty payable 2,262 26 Dec 31 320 Interest expense Interest payable 320 27 Dec 31 630 Payroll tax expense Unemployment tax payable 630 28 Dec 31 375 Payroll tax expense FICA - Social security tax payable FICA - Medicare tax payable 300 75 29 Dec 31 Alarm sales Monitoring service revenue Retained earnings . 30 Dec 31 155,767 37,470 15,000 1,680 8,150 60 Retained earnings Cost of goods sold Advertising expense Credit card expense Depreciation expense Maintenance expense Miscellaneous expense Office supplies expense Payroll tax expense Rent expense Salaries expense Supplies expense Uncollectible accounts expense 17 15 5,505 9,000 65,000 440 3,965 Utilities expense 7,200 2,262 Warranty expense Cash over and short 3 Utilities expense 7,200 2,262 Warranty expense Cash over and short 3 31 Dec 31 Retained earnings 10,000 Dividends 10,000 Pacilio Security Services, Inc. Statement of Cash Flows For the Year Ended December 31, Year 9 Cash flows from operating activities: Cash receipts from customers $ 0 Net cash flow from operating activities Cash flows from investing activities: Net cash flows from investing activities Cash flows from financing activities: Net cash flow from financing activities 0 Ending cash balance $ 0 Pacilio Security Services, Inc. Effect of Transactions on Financial Statements - Year 9 Balance Sheet Income Statement Stk. Liabilities Revenue Expenses Equity Statement of Cash Flows Assets Transaction = Net Income + OA 1. 2. 3. 4. 5. 6. 7. 8. 9. 10. 11. 12. 13. 14. 15. 16. 17. 18. 19. 20. 21. 22. 23. 24. 25. G
Step by Step Solution
There are 3 Steps involved in it
Get step-by-step solutions from verified subject matter experts
