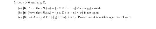
Question: please do all questions.. i think they are small.. will give a like.. need in 1-2 hours 5. Let r>0 and z10C. (iv) [6] Prove
please do all questions.. i think they are small.. will give a like.. need in 1-2 hours

5. Let r>0 and z10C. (iv) [6] Prove that Br(z0)={=C:zz1
Step by Step Solution
There are 3 Steps involved in it
1 Expert Approved Answer
Step: 1 Unlock
Question Has Been Solved by an Expert!
Get step-by-step solutions from verified subject matter experts
Step: 2 Unlock
Step: 3 Unlock
