Question: please help identify which structure this is. TIA You will use MP, IR, and NMR to determine the identification of your unknown. Possible unknowns: Unknown:
please help identify which structure this is. TIA


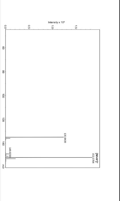
You will use MP, IR, and NMR to determine the identification of your unknown. Possible unknowns: Unknown: Identification of unknown: Attach IR and NMR with relevant peaks labeled. Discussion: You will use MP, IR, and NMR to determine the identification of your unknown. Possible unknowns: Unknown: Identification of unknown: Attach IR and NMR with relevant peaks labeled. Discussion
Step by Step Solution
There are 3 Steps involved in it
Get step-by-step solutions from verified subject matter experts
