Question: Please help me answer this questions Pay for Performance using a Fictitious Example Purpose: The purpose of this assignment is to better understand how pay
Please help me answer this questions
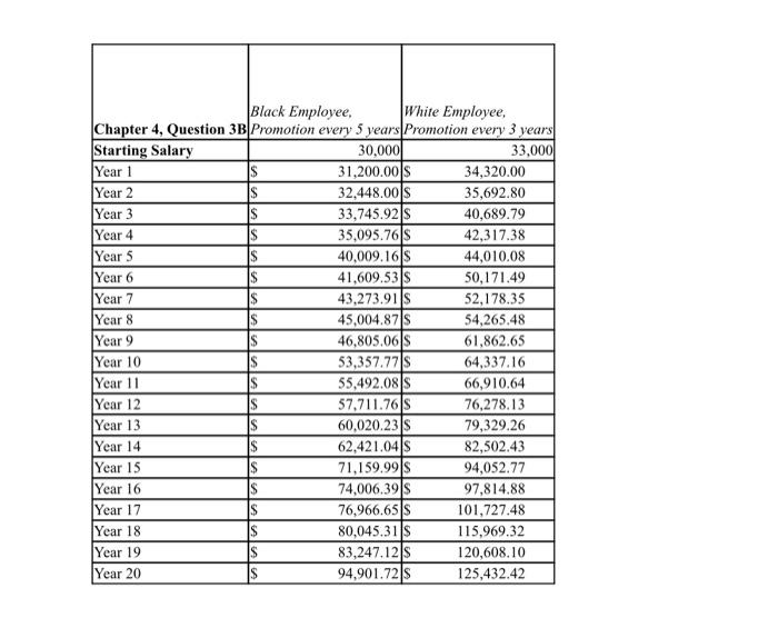
Pay for Performance using a Fictitious Example Purpose: The purpose of this assignment is to better understand how pay for performance (meritocracy) has an impact on individual employees within a corporation and to analyze if there any diversity, equity, and inclusion impacts. The goal is to understand in this narrow lens how all of the aspects of diversity discussed during the semester can impact these decisions within a workplace and in an individual's personal life. This will be a 2-3 page paper that will address the following four parts: Part One: Review the Excel documents related to wages for two employees at a fictitious company (starting at bottom of this document). What observations do you notice about the differences in starting pay and the impact of pay on the pace of promotions? Part Two: Based on the readings and discussions, what groups are potentially impacted by pay disparity? Part Three: Review "Diversity and Organizational Competitiveness" on pages 16-26. Where do you see pay fitting into Diversity and Organizational Competitiveness? Part Four: Based on the readings in the book, and your learnings this semester, what are three potential solutions that are recommended for minimizing pay disparity in organizations? Part Five: Critically analyze the fictitiousness of this example. What are the ramifications of something like this really happening? Pay for Performance Assignment due on or before Feb 20th Data for Question 1 BA Chapter 4 Question Antara Starting Salary Yew Year 2 Year Yes 4 Yes Year Year 1 IY Applicant |- 30,000.00 13.000.00 31,200,0015 34,320.00 12.445.00 35,692 33,745.921 37, 120.51 35,095.70 38.505 33 36,499.995 40,149 37,959.575 41,755 51 39,477.95 41.4257 41.087.0115 45,1627 42,099.355 46.99 44,407.335 48,54 46,183.62 50.00 48.00 9715 52M 19.982.2015 54.9474) 51.90 NIS 57.145.13 54028015 59.431.14 56,189 445 61 SORT 58,437.00 4,280.72 60,774.90 66,851.95 63.205.43 69.526.02 65.733. 72,307.06 Yew 10 Year 11 Yow 12 Your You 14 Year 15 Year 16 Year 17 Year 1 Your 19 Year 20 Black Employee White Employee Chapter 4, Question 3B Promotion every 5 years Promotion every 3 years Starting Salary 30,000 33,000 Year 1 IS 31,200.00 $ 34,320.00 Year 2 IS 32,448.00 $ 35,692.80 Year 3 33,745.92 s 40,689.79 Year 4 IS 35,095.76 $ 42,317.38 Year 5 40,009.16 5 44,010.08 Year 6 IS 41.609.53 $ 50.171.49 Year 7 43,273.911s 52,178.35 Year 8 S 45,004.8715 54,265.48 Year 9 46,805.06 61,862.65 Year 10 IS 53,357.77 s 64,337.16 Year 11 S 55,492.08s 66,910.64 Year 12 S 57,711.76 76,278.13 Year 13 60,020.23 s 79,329.26 Year 14 IS 62,421.04 82,502.43 Year 15 71,159.99 $ 94,052.77 Year 16 74,006.39 $ 97,814.88 Year 17 S 76,966,65% 101,727.48 Year 18 IS 80,045.31 $ 115.969.32 Year 19 83,247.12 s 120,608.10 Year 20 94,901.7215 125,432.42 Pay for Performance using a Fictitious Example Purpose: The purpose of this assignment is to better understand how pay for performance (meritocracy) has an impact on individual employees within a corporation and to analyze if there any diversity, equity, and inclusion impacts. The goal is to understand in this narrow lens how all of the aspects of diversity discussed during the semester can impact these decisions within a workplace and in an individual's personal life. This will be a 2-3 page paper that will address the following four parts: Part One: Review the Excel documents related to wages for two employees at a fictitious company (starting at bottom of this document). What observations do you notice about the differences in starting pay and the impact of pay on the pace of promotions? Part Two: Based on the readings and discussions, what groups are potentially impacted by pay disparity? Part Three: Review "Diversity and Organizational Competitiveness" on pages 16-26. Where do you see pay fitting into Diversity and Organizational Competitiveness? Part Four: Based on the readings in the book, and your learnings this semester, what are three potential solutions that are recommended for minimizing pay disparity in organizations? Part Five: Critically analyze the fictitiousness of this example. What are the ramifications of something like this really happening? Pay for Performance Assignment due on or before Feb 20th Data for Question 1 BA Chapter 4 Question Antara Starting Salary Yew Year 2 Year Yes 4 Yes Year Year 1 IY Applicant |- 30,000.00 13.000.00 31,200,0015 34,320.00 12.445.00 35,692 33,745.921 37, 120.51 35,095.70 38.505 33 36,499.995 40,149 37,959.575 41,755 51 39,477.95 41.4257 41.087.0115 45,1627 42,099.355 46.99 44,407.335 48,54 46,183.62 50.00 48.00 9715 52M 19.982.2015 54.9474) 51.90 NIS 57.145.13 54028015 59.431.14 56,189 445 61 SORT 58,437.00 4,280.72 60,774.90 66,851.95 63.205.43 69.526.02 65.733. 72,307.06 Yew 10 Year 11 Yow 12 Your You 14 Year 15 Year 16 Year 17 Year 1 Your 19 Year 20 Black Employee White Employee Chapter 4, Question 3B Promotion every 5 years Promotion every 3 years Starting Salary 30,000 33,000 Year 1 IS 31,200.00 $ 34,320.00 Year 2 IS 32,448.00 $ 35,692.80 Year 3 33,745.92 s 40,689.79 Year 4 IS 35,095.76 $ 42,317.38 Year 5 40,009.16 5 44,010.08 Year 6 IS 41.609.53 $ 50.171.49 Year 7 43,273.911s 52,178.35 Year 8 S 45,004.8715 54,265.48 Year 9 46,805.06 61,862.65 Year 10 IS 53,357.77 s 64,337.16 Year 11 S 55,492.08s 66,910.64 Year 12 S 57,711.76 76,278.13 Year 13 60,020.23 s 79,329.26 Year 14 IS 62,421.04 82,502.43 Year 15 71,159.99 $ 94,052.77 Year 16 74,006.39 $ 97,814.88 Year 17 S 76,966,65% 101,727.48 Year 18 IS 80,045.31 $ 115.969.32 Year 19 83,247.12 s 120,608.10 Year 20 94,901.7215 125,432.42

Step by Step Solution
There are 3 Steps involved in it
1 Expert Approved Answer
Step: 1 Unlock
Question Has Been Solved by an Expert!
Get step-by-step solutions from verified subject matter experts
Step: 2 Unlock
Step: 3 Unlock
