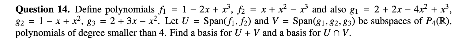
Question: Please help me with this problem, thank you!!! Question 14. Define polynomials fi = 1 - 2x + x, f2 = x + x -
Please help me with this problem, thank you!!!

Step by Step Solution
There are 3 Steps involved in it
1 Expert Approved Answer
Step: 1 Unlock
Question Has Been Solved by an Expert!
Get step-by-step solutions from verified subject matter experts
Step: 2 Unlock
Step: 3 Unlock
