Question: Please help!!! We can represent a path from the root to a given node of a binary tree by means of a binary string,where 0
Please help!!!
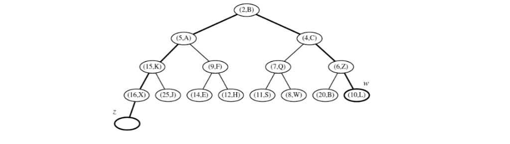
We can represent a path from the root to a given node of a binary tree by means of a binary string,where 0 means go to the left child and 1 means go to the right child. For example, the path from the root to the node storing (8,W) in the heap below is represented by 101. Design an O(log n)-time algorithm (in pseudo-code) for finding the last node of a complete binary tree with nodes, based on the above representation. Briefly explain how this algorithm can be used in the implementation of a complete binary tree by means of a linked structure that does not keep a reference to the last node.

(2,B) (5,A) (4,C) (15,K) (9,F (7.0) (6,2) Z
Step by Step Solution
There are 3 Steps involved in it
Get step-by-step solutions from verified subject matter experts
