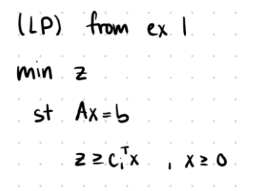
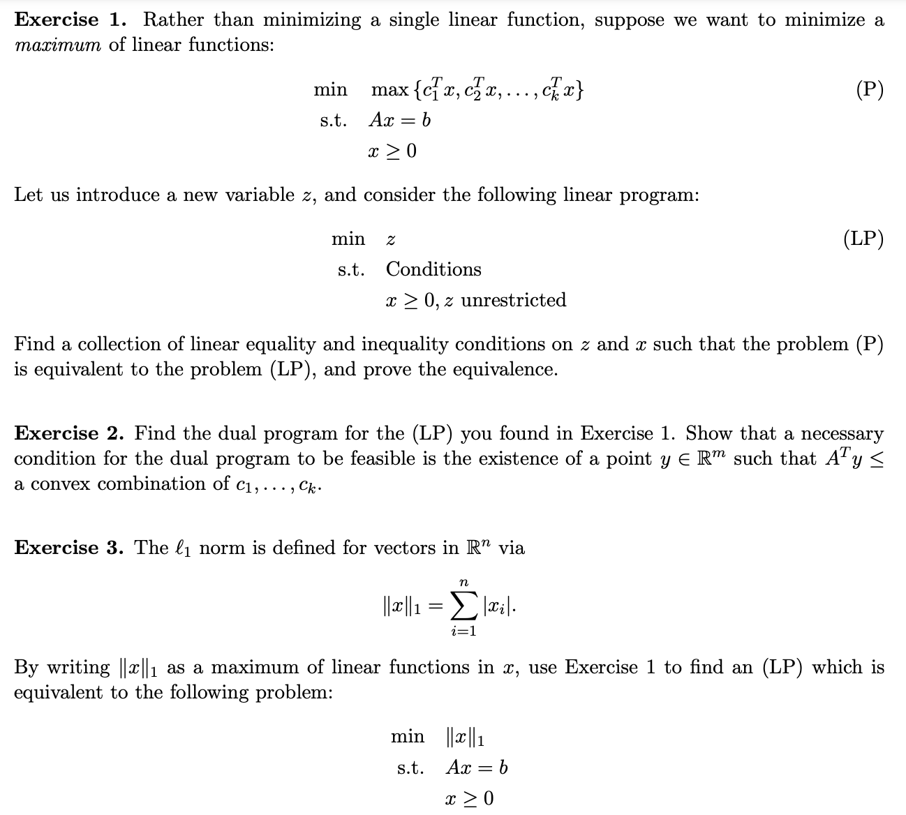
Question: Please help with 2 and 3 of this linear programming exercises! ( LP) from ex I min . 2 st Ax= b T 2 2Cix
Please help with 2 and 3 of this linear programming exercises!


Step by Step Solution
There are 3 Steps involved in it
1 Expert Approved Answer
Step: 1 Unlock
Question Has Been Solved by an Expert!
Get step-by-step solutions from verified subject matter experts
Step: 2 Unlock
Step: 3 Unlock
