Question: Please only Solve using MATLAB!! Task b: Develop a general code named four_dof.m which includes the base motion and damping. Use the function ode45. Follow
Please only Solve using MATLAB!!

Task b: Develop a general code named four_dof.m which includes the base motion and damping. Use the function ode45. Follow the example of two_dof.m. Use the code developed in Task b to simulate the dynamics of this structure from t = 0s to t = 6s. The initial conditions are 1 v m s (0) 0.012 = , 2 v m s (0) 0.032 = , 3 v m s (0) 0.055 = 4 v m s (0) 0.071 = . 1 x (0) 0 = , 2 x (0) 0 = , 3 x (0) 0 = and 4 x (0) 0 = . Other parameters are 1 M kg = 3900 , 2 M kg = 3600 , 3 M kg = 3500 , 4 M kg = 2500 , 1 k kN m = 3400 / , 2 k kN m = 2800 / , 3 k kN m = 2300 / and 4 k kN m =1800 / . Ignore the base motion and damping in this calculation. Present your results as time-series plots of displacement of each floor in the same plot.
PLEASE ONLY SOLVE TASK B!! ALL OF IT!!!
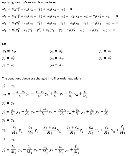
ODE Required for part B

Please only Solve using MATLAB!!
The model and the parameters Figure 1 is a schematic of the four story shear building. Each floor is represented by its mass and the superstructure supporting each floor is idealized by a spring constant representing resistance to lateral motion and a damping coefficient providing frictional energy losses. External forces applied to each floor are ignored in this model, but the base (or the ground) may move during an earthquake. Hence, only four degrees of freedom are needed to describe total displacements of the structure, described as Figure 2 MA AN Base Figure A fou-story shear building excited by the base motion. k,kkk N4 0 Figure 2 A simplified four DOF model for a shear building
Step by Step Solution
There are 3 Steps involved in it
Get step-by-step solutions from verified subject matter experts
