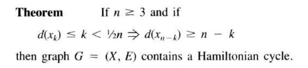
Question: PLEASE PROOF THE SOLUTION AND SHOW YOUR CALCULATON STEP BY STEP THANK YOU Theorem If n3 and if d(xk)k
PLEASE PROOF THE SOLUTION AND SHOW YOUR CALCULATON STEP BY STEP
THANK YOU

Theorem If n3 and if d(xk)k
Step by Step Solution
There are 3 Steps involved in it
1 Expert Approved Answer
Step: 1 Unlock
Question Has Been Solved by an Expert!
Get step-by-step solutions from verified subject matter experts
Step: 2 Unlock
Step: 3 Unlock
