Question: Please show all work, step by step, written and explained as neatly as possible. Thank you so much!! Directions: Using Theorems 1 and 2, discuss





Please show all work, step by step, written and explained as neatly as possible. Thank you so much!!
Directions:





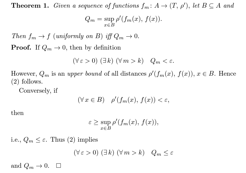
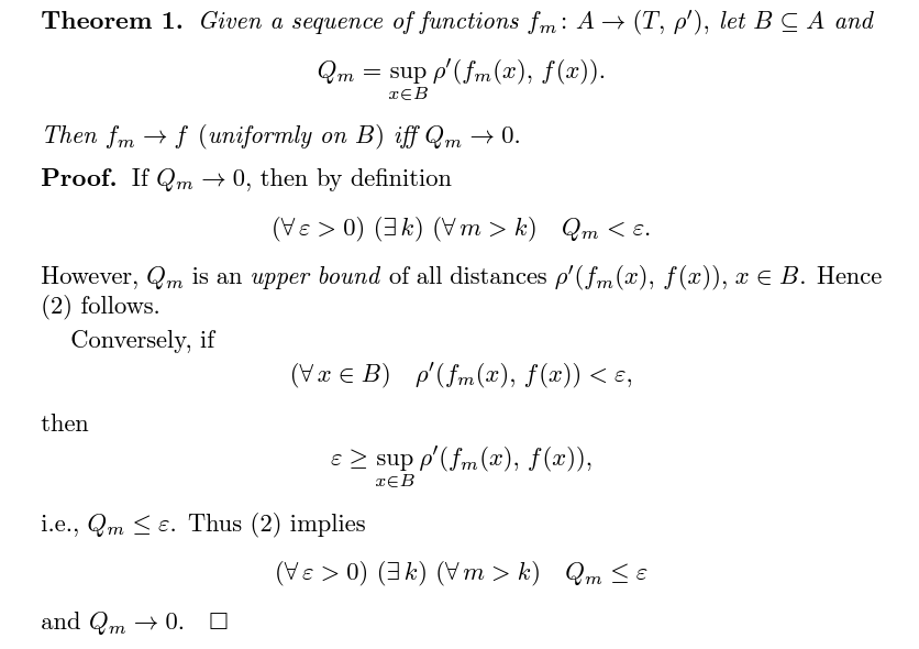
Using Theorems 1 and 2, discuss lim fn on the sets given below, with fn (x) as indicated and 0 ( (20 ) f '( 2 ) "f) d (daxA ) then E 2 sup p'(fm(x), f(x)), IEB i.e., Qm f (uniformly) on a set B C A, and if the fm are relatively ( or uniformly) continuous on B, then the limit function f has the same property. Proof. Fix & > 0. As fm -> f (uniformly) on B, there is a k such that E > ((a) f (x) "f) (yz WA) (a=xA) (3) Take any fm with m > k, and take any p E B. By continuity, there is o > 0, with E > ((d) f '(x)"f)d ((9) ouazA) 4 (4) 2 Here Qn = sup *" - 0 = sup *" = lim * = 1 DEC 0
Step by Step Solution
There are 3 Steps involved in it
Get step-by-step solutions from verified subject matter experts
