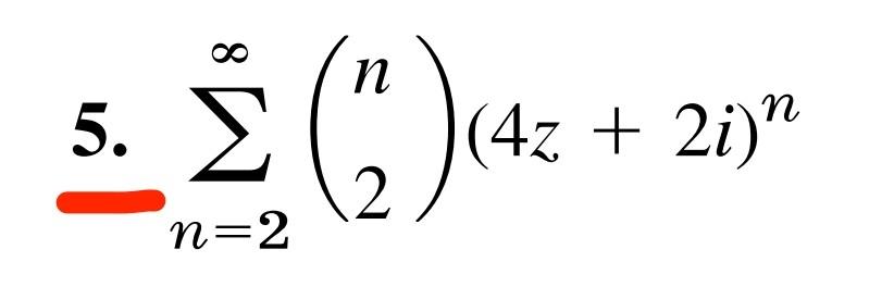
Question: Please provide a clean and complete solution V. POWER SERIES ((SELECT HIGHLIGHTED ITEM) Where does the power series converge uniformly? Give reason. 5. n=2(n2)(4z+2i)n


Please provide a clean and complete solution
V. POWER SERIES ((SELECT HIGHLIGHTED ITEM) Where does the power series converge uniformly? Give reason. 5. n=2(n2)(4z+2i)n
Step by Step Solution
There are 3 Steps involved in it
Get step-by-step solutions from verified subject matter experts
