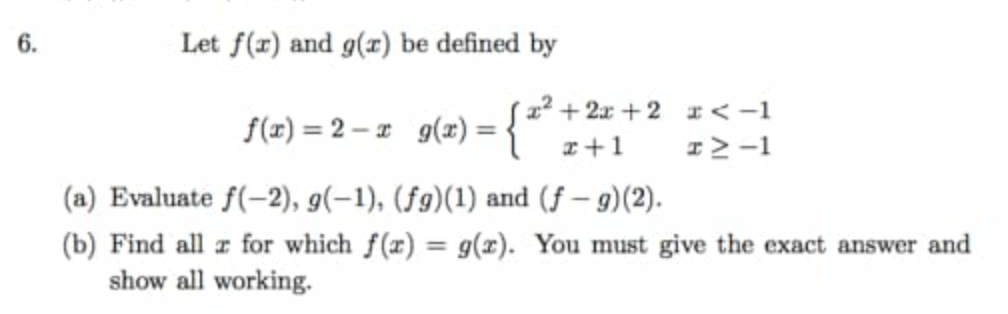
Question: please provide neat and clean handwritten solution step by step 6. Let f(x) and g(x) be defined by f(x) =2-1 9(1) = S'+2x+2 1
please provide neat and clean handwritten solution step by step

6. Let f(x) and g(x) be defined by f(x) =2-1 9(1) = S'+2x+2 1
Step by Step Solution
There are 3 Steps involved in it
Get step-by-step solutions from verified subject matter experts
