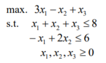
Question: Please show all the steps as well. (No excel please) Thanks! max. 3x; x2 + x3 . - + s.t. x + x2 + x3

Please show all the steps as well. (No excel please) Thanks!
Step by Step Solution
There are 3 Steps involved in it
1 Expert Approved Answer
Step: 1 Unlock
Question Has Been Solved by an Expert!
Get step-by-step solutions from verified subject matter experts
Step: 2 Unlock
Step: 3 Unlock
