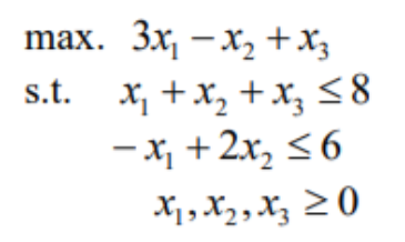
Question: Please show all the steps as well. (No excel please) Thanks! max. 3x; x2 + x3 . - + s.t. x + x2 + x3



Please show all the steps as well. (No excel please) Thanks!
max. 3x; x2 + x3 . - + s.t. x + x2 + x3 38 - xy + 2x, 56 X1, X2,43 20 Let x4 and X5 are the slack variables added to these two general constraints, respectively. Given a simplex tableau as follow: BV Z x 0 1 X3 2 X4 3 X2 4 1 3 X's 0 0 RHS 24 1 1 8 x X's 0 1 1 1 14 Suppose the value of C1 is changed to -3. Set up the updated simplex tableau via minimum computation effort . Is the solution still optimal? Why? If not, modify the simplex tableau to find the optimal solution. Use parametric programming to find the range of c1 for which the current solution is still optimalStep by Step Solution
There are 3 Steps involved in it
1 Expert Approved Answer
Step: 1 Unlock
Question Has Been Solved by an Expert!
Get step-by-step solutions from verified subject matter experts
Step: 2 Unlock
Step: 3 Unlock
