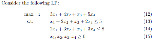
Question: Please show every step and write everything clearly Consider the following LP: maxz=s.t.3x1+4x2+x3+5x4x1+2x2+x3+2x452x1+3x2+x3+3x48x1,x2,x3,x40 (a) Find the Dual of the LP. (b) Compute the optimal solution
Please show every step and write everything clearly


Step by Step Solution
There are 3 Steps involved in it
1 Expert Approved Answer
Step: 1 Unlock
Question Has Been Solved by an Expert!
Get step-by-step solutions from verified subject matter experts
Step: 2 Unlock
Step: 3 Unlock
