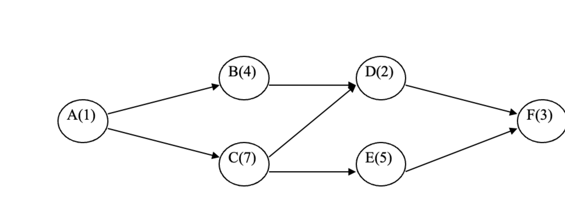
Question: Please Show work: ( 1 ) Given the network shown, what is the earliest start time for activity F ? A . 6 B .
Please Show work:
Given the network shown, what is the earliest start time for activity F
A
B
C
D
E
Given the network shown, what is the latest finish time for activity B
A
B
C
D
E
Given the network shown, what is the slack time for activity D
A
B
C
D
E
Step by Step Solution
There are 3 Steps involved in it
1 Expert Approved Answer
Step: 1 Unlock
Question Has Been Solved by an Expert!
Get step-by-step solutions from verified subject matter experts
Step: 2 Unlock
Step: 3 Unlock
