Question: Please solve it without using MATLAB 9.13 A stage extraction process is depicted in Fig. P9.13. In such systems, a stream containing a weight fraction
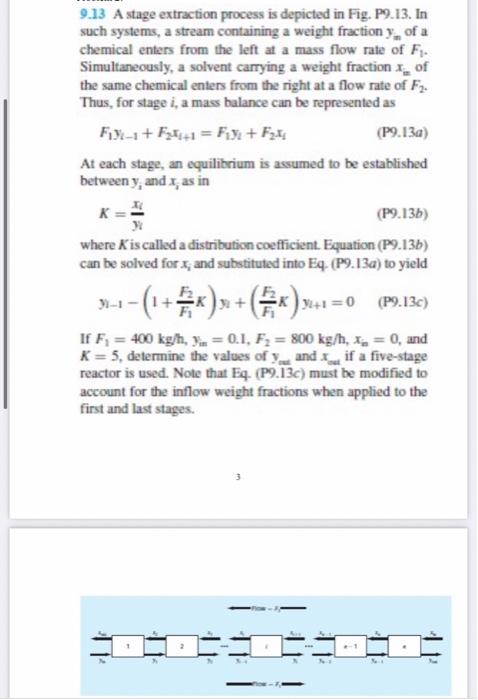
9.13 A stage extraction process is depicted in Fig. P9.13. In such systems, a stream containing a weight fraction y, of a chemical enters from the left at a mass flow rate of F. Simultaneously, a solvent carrying a weight fraction of the same chemical enters from the right at a flow rate of F2. Thus, for stage i, a mass balance can be represented as F-1+ Futa = Fix + F2 (P9.13a) At each stage, an equilibrium is assumed to be established between y, and I, as in K (P9.13b) where Kis called a distribution coefficient. Equation (P9.13) can be solved for x, and substituted into Eq. (P9.13a) to yield 9-1-1+ +1 F If F, = 400 kg/h, mis = 0.1, F2 = 800 kg/h, = 0, and K = 5, determine the values of you and if a five-stage reactor is used. Note that Eq. (P9.13c) must be modified to account for the inflow weight fractions when applied to the first and last stages. + **)+(6x) x+1=0 (29.130) 3 DEL
Step by Step Solution
There are 3 Steps involved in it
Get step-by-step solutions from verified subject matter experts
