Question: Please solve Q4. Hand Written solution only! no CHATGBT answer please. Thanks 4. Let A be the matrix given below. Find the value(s) of such
Please solve Q4. Hand Written solution only! no CHATGBT answer please. Thanks





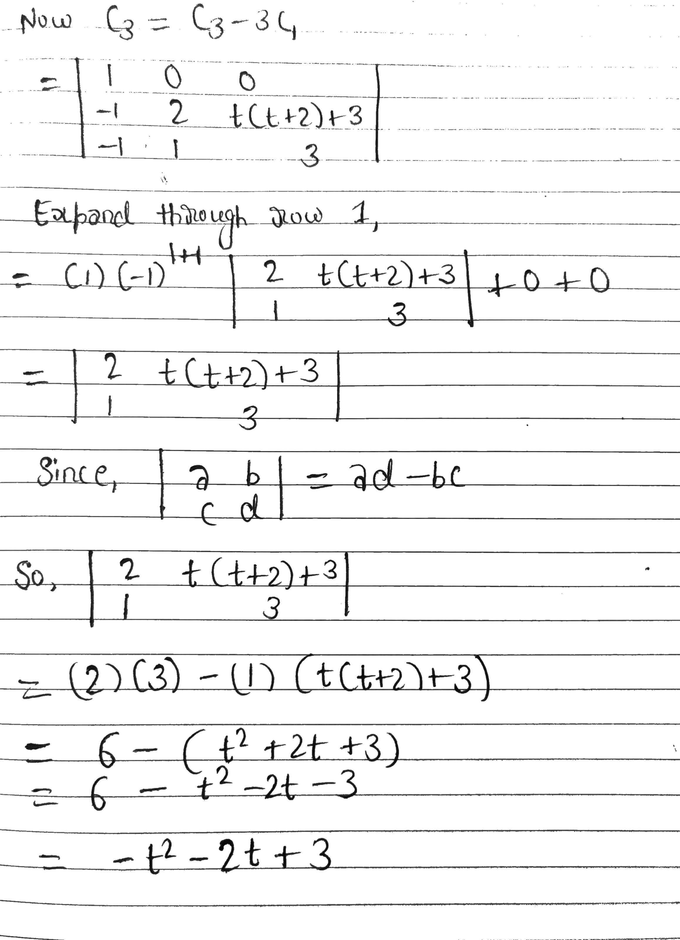
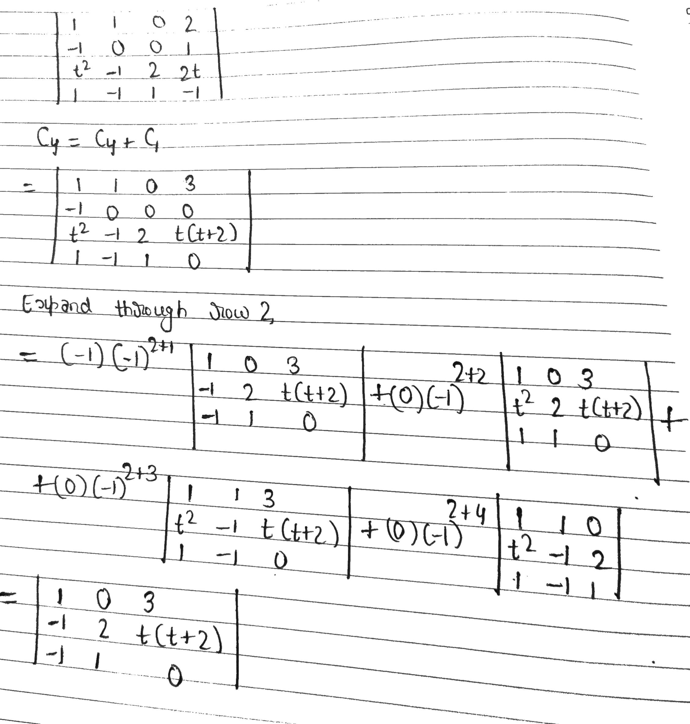
4. Let A be the matrix given below. Find the value(s) of such that det(A) > 0. r 3 0O 2 -1 0 0 1 & 2 1 2 9 \f\ffoot, t
Step by Step Solution
There are 3 Steps involved in it
Get step-by-step solutions from verified subject matter experts
