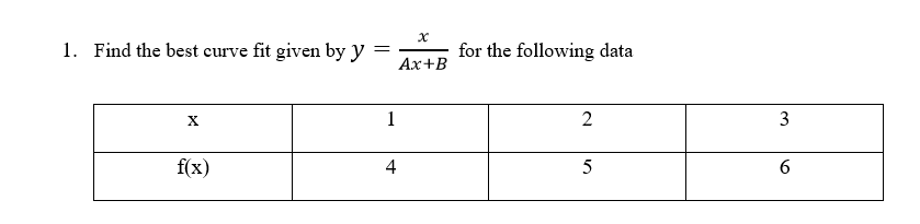
Question: Please solve quickly using Matlab 1. Find the best curve fit given by y for the following data Ax+B X 1 2 3 f(x) 4

Please solve quickly using Matlab
1. Find the best curve fit given by y for the following data Ax+B X 1 2 3 f(x) 4 5 6
Step by Step Solution
There are 3 Steps involved in it
Get step-by-step solutions from verified subject matter experts
