Question: Please solve the problems attached below: (Answers Only) 1) Evaluate: arcsin + arccos NI + arctan (-1) (Hint: evaluate each and add them up.) 5






Please solve the problems attached below: (Answers Only)









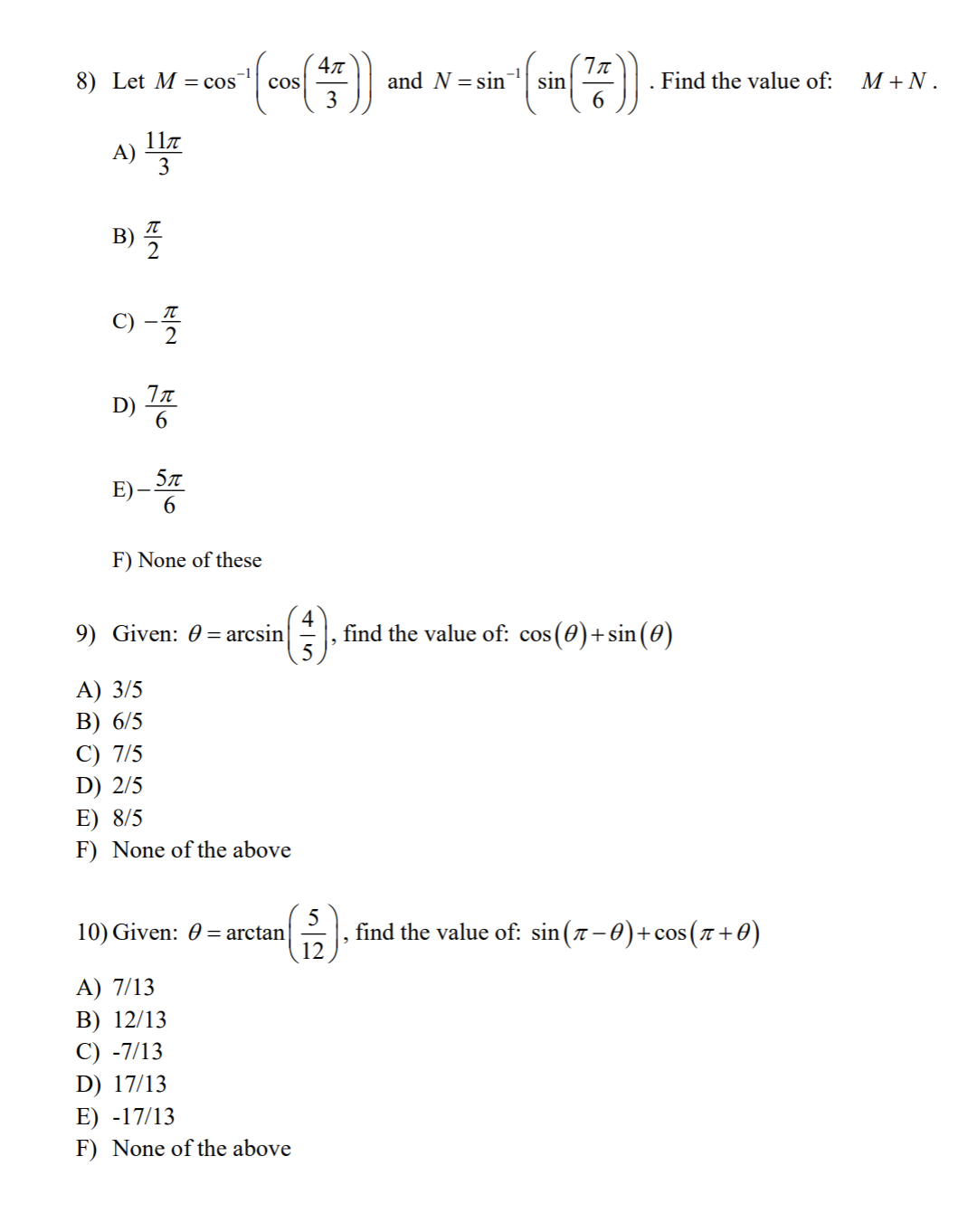
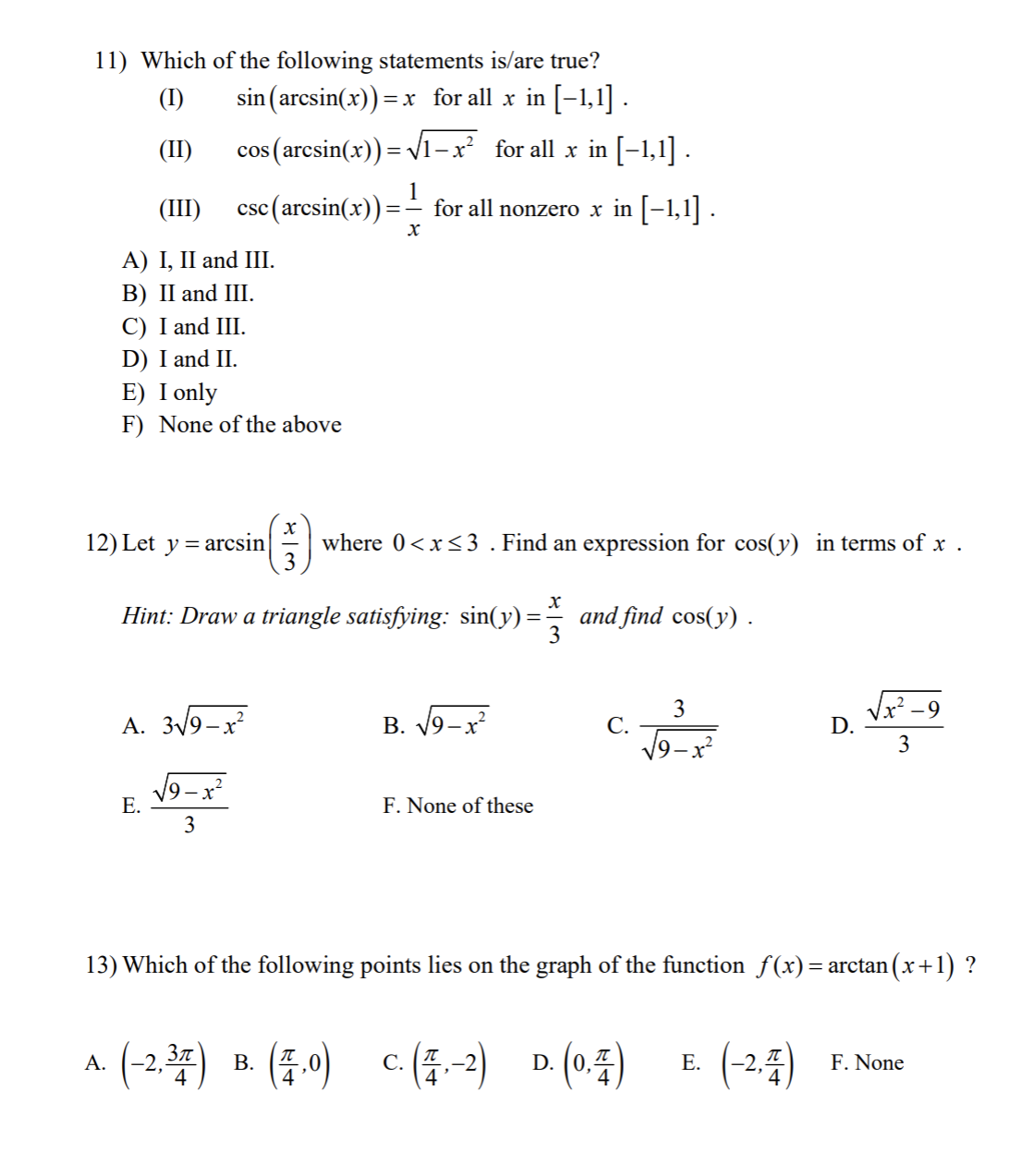
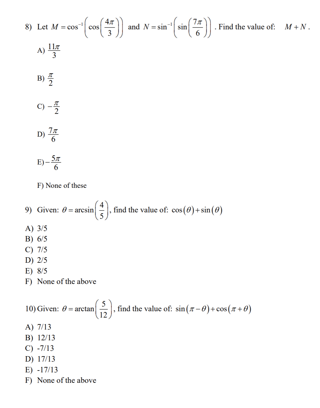
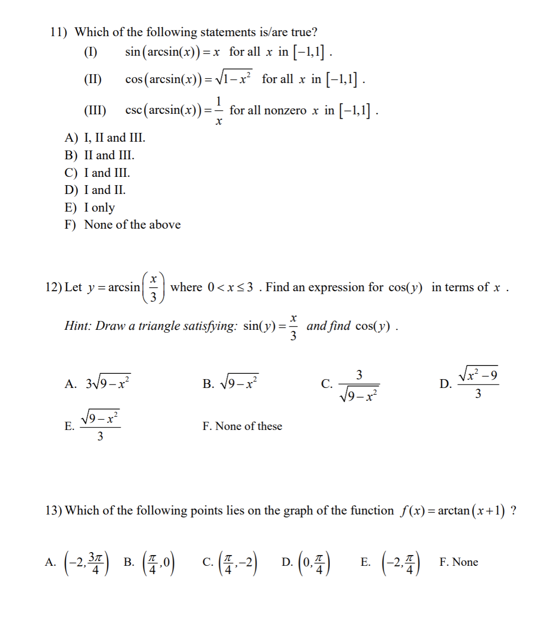
1) Evaluate: arcsin + arccos NI + arctan (-1) (Hint: evaluate each and add them up.) 5 TT A. B. C. D. E. 3 7t F. None of these 12 4 4 4 2) Evaluate: 3 arcsin + arccos 2 + 5 arctan (1) (Hint: evaluate each and add them up.) 197 3TT A. B. C. 27 D. - E. F. None of these 12 4 3 4 12 3) Evaluate: sin -1 + cos-' (-1) + tan-' (0) (Hint: evaluate each and add them up.) 3TT 5 TT A. B. C.- D. E. F. None of these 3 4 8 4) Find: sin arccos 5 13 A) 13/12 B) 5/13 C) 12/13 D) 5/12 E) 12/5 F) None of these5) Find: tan arcsin + cos arcsin 17 A) 23/15 B 17/15 C) 31/15 D) 15/28 E 17/5 F. None of these8) Let M = cos cos 3 and N = sin-' sin Find the value of: M + N. A) IIT 3 B) C) - - D) 6 E) - ST 6 F) None of these 9) Given: 0 = arcsin find the value of: cos (@) + sin (0) A) 3/5 B) 6/5 C) 7/5 D) 2/5 E) 8/5 F) None of the above 10) Given: 0 = arctan 12 find the value of: sin (T - 0) + cos( + 0) A) 7/13 B) 12/13 C) -7/13 D) 17/13 E) -17/13 F) None of the abovel 1) Which of the following statements is/ are true? (I) sin(arcsin(x)) 2.: for all x in [1,1] . \\ll for all x in[ 1,1]. 1 for all nonzero x in [1,1] . x (11) cos( (arcsin(x)) (III) (:50 (arcsin(x)) A) I, II and III. B) II and III. C) I and III. D) I and II. E) I only F) None of the above 12) Let y : arcsin where 0
Step by Step Solution
There are 3 Steps involved in it
Get step-by-step solutions from verified subject matter experts
