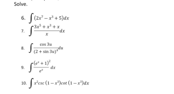
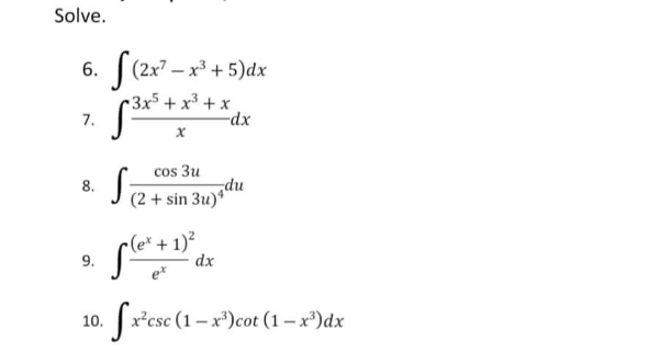
Question: pls show complete solution. integral Solve. 6. (2x7 - x3+ 5) dx 3x5 + x3+ x 7 . dx X cos 3u 8. du (2

pls show complete solution. integral

Solve. 6. (2x7 - x3+ 5) dx 3x5 + x3+ x 7 . dx X cos 3u 8. du (2 + sin 3u) (ex + 1)2 9 . dx 10. x2esc (1 - x3) cot (1 - x3) dx
Step by Step Solution
There are 3 Steps involved in it
Get step-by-step solutions from verified subject matter experts
