Question: Problem 1. (35 points) Classify the following differential equations (no need to solve). State the order, homogeneouson- homogeneous, linear or not and vernacular name if

 Problem 1. (35 points) Classify the following differential equations (no need

to solve). State the order, homogeneouson- homogeneous, linear or not and vernacular

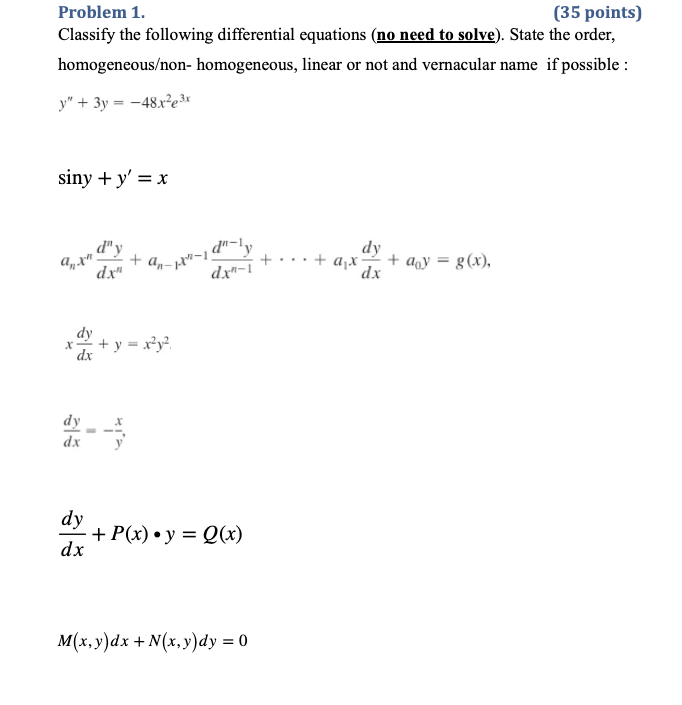
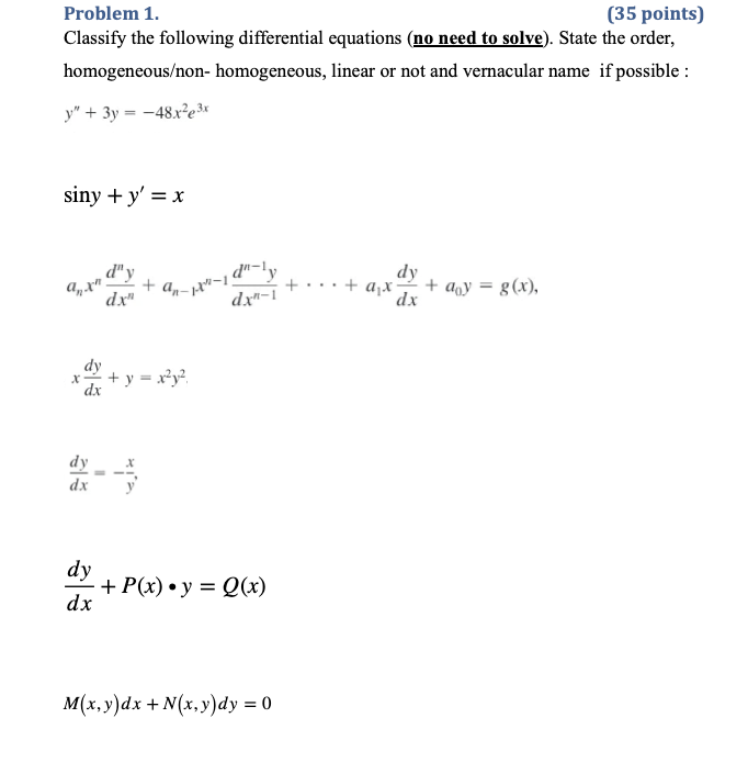
Problem 1. (35 points) Classify the following differential equations (no need to solve). State the order, homogeneouson- homogeneous, linear or not and vernacular name if possible : y" + 3y = -48x2e 3x siny + y' = x dx-1 . . .+ ax dy + any = 8(x). dx dy X- +y= xy dx dy dx dy + p(x) . y = Q(x) dx M(x, y ) dx + N(x, y ) dy = 0

Step by Step Solution

There are 3 Steps involved in it

1 Expert Approved Answer
Step: 1 Unlock blur-text-image
Question Has Been Solved by an Expert!

Get step-by-step solutions from verified subject matter experts

Step: 2 Unlock
Step: 3 Unlock

Students Have Also Explored These Related Mathematics Questions!