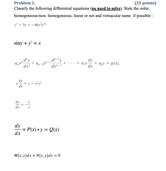
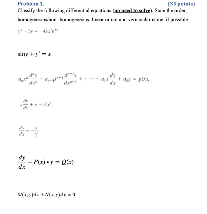
Question: Problem 1. (35 points) Classify the following differential equations (no need to solve). State the order, homogeneouson- homogeneous, linear or not and vernacular name if


Problem 1. (35 points) Classify the following differential equations (no need to solve). State the order, homogeneouson- homogeneous, linear or not and vernacular name if possible : y" + 3y = -48x2e 3x siny + y' = x dx-1 . . .+ ax dy + any = 8(x). dx dy X- +y= xy dx dy dx dy + p(x) . y = Q(x) dx M(x, y ) dx + N(x, y ) dy = 0
Step by Step Solution
There are 3 Steps involved in it
Get step-by-step solutions from verified subject matter experts
