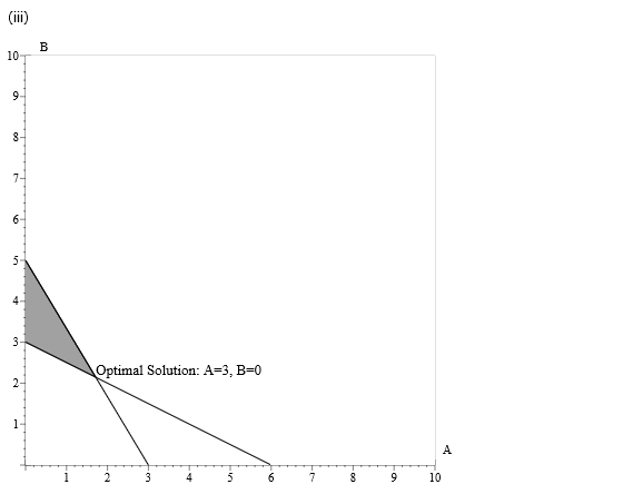
Question: Problem 2-10 (Algorithmic) For the linear program Max 4A + 6 B s.t. 2A + 4B 0 select the correct graph that identifies the optimal




Step by Step Solution
There are 3 Steps involved in it
1 Expert Approved Answer
Step: 1 Unlock
Question Has Been Solved by an Expert!
Get step-by-step solutions from verified subject matter experts
Step: 2 Unlock
Step: 3 Unlock
