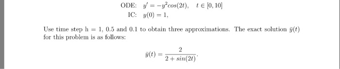
Question: Problem 3 (programming): Solve the IVP in problem1 using2h-order Runge-Kutta method. The method can be described as follows k, = f(t,%), where ci = 1/4,
Problem 3 (programming): Solve the IVP in problem1 using2h-order Runge-Kutta method. The method can be described as follows k, = f(t",%), where ci = 1/4, c2 = 3/4, pi-2/3 and qi,-23. Create a figure 3, e.g. figure(3), to plot y versust for the three approximations as well as the exact solution. Use different symbols to denote the approximations and a solid line to denote the exact solution Set p3 = 'See figure 3". Reinember to label the axes and give the figure a title and a legend
Step by Step Solution
There are 3 Steps involved in it
Get step-by-step solutions from verified subject matter experts
