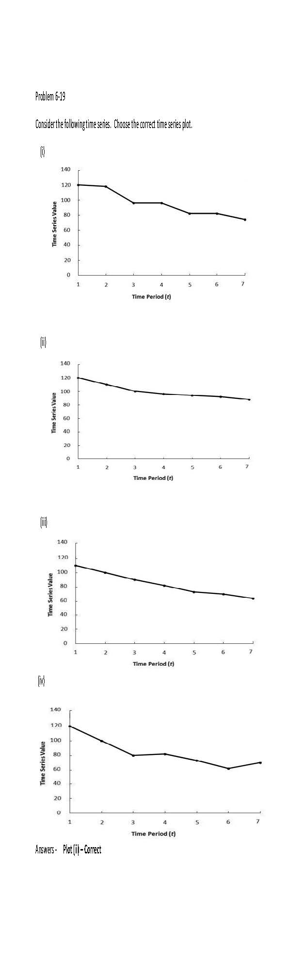
Question: Problem 6-19 Consider the following time series. Choose the correct time series plot. Time Series Value 12 3 4 5 6 7 Time Period (t)



Step by Step Solution
There are 3 Steps involved in it
1 Expert Approved Answer
Step: 1 Unlock
Question Has Been Solved by an Expert!
Get step-by-step solutions from verified subject matter experts
Step: 2 Unlock
Step: 3 Unlock
