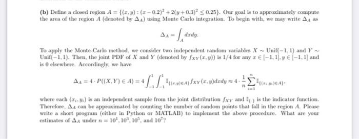
Question: programming assignment in Python (b) Define a closed region A = {{=.y): (-0.2)2 + 2 y +0.3)
programming assignment in Python
(b) Define a closed region A = {{=.y): (-0.2)2 + 2 y +0.3)
Step by Step Solution
There are 3 Steps involved in it
1 Expert Approved Answer
Step: 1 Unlock
Question Has Been Solved by an Expert!
Get step-by-step solutions from verified subject matter experts
Step: 2 Unlock
Step: 3 Unlock
