Question: project management 485 - information logistic answer the question step-by-step clearly don't forget anything with a clear font a. Find and label each path for
project management 485 - information logistic



answer the question step-by-step clearly don't forget anything with a clear font
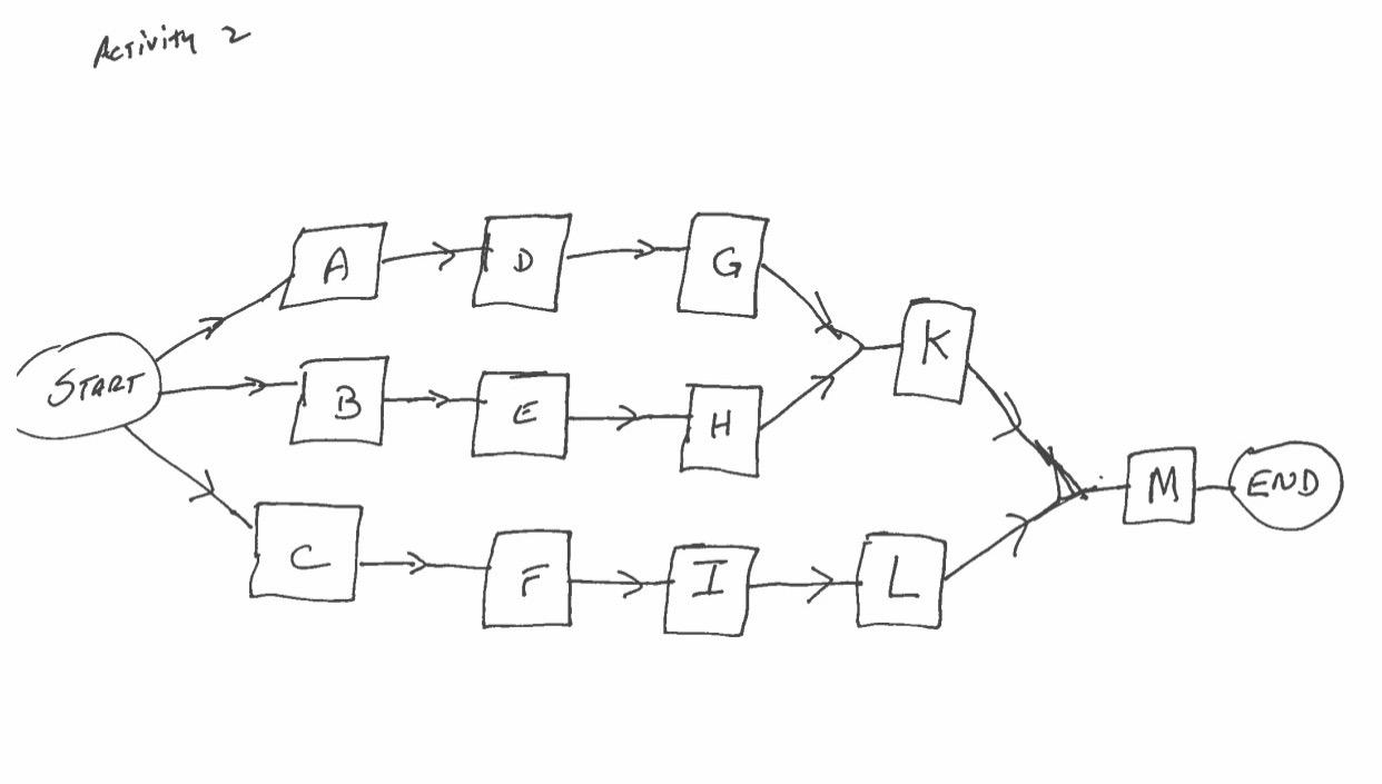
a. Find and label each path for the network diagram on the page of the network
diagram
b. Find the total float for each path and put it beside the path. (IE Path ABCD = TS
4 where TS is the total slack or total float for path ABCD)
c. Find the critical path for the network diagram. Remember: It will have a TS of 0
Activity DULATION Dependency Floor TUTORIAL Refresher Starr 0 A 2 B s 7 START START START A B 33 14 BECAUSE YOU caroor F 4 3 O START UNTIL DETF AEF G As ID 2313 Have All Finish END 12 Start PE 451- B END 'G' 3,7 Early START CF- Early Finish - LATE STAT LF - LATE Finish EFI ES 5 13 a 8 14 Activity DURATION 7 8 4 13 Shown in Ch. 5 How To CAKULATE } coiren T3 = 5 1 Acrivita OUTATION Dependency FLOAT - CAlculated TSELF-EF TS=25-ES Path PATH parh START A DG END START BEG END START CFG END TS TS - Critical Pain = Start CFG END Float Activity Start IA Activity 2 Duration Dependency 0 9 Start 7 Start 5 Start B | D 7 A E B 5 1 F G 3 D H 4 E 2 F IK 4 L G H I K, L . 6 2 0 M End Critical Path: Activity 2 A G Ik 3 E H M KEND F I LStep by Step Solution
There are 3 Steps involved in it
Get step-by-step solutions from verified subject matter experts
