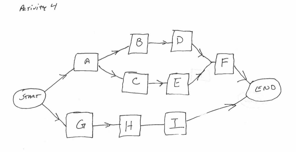
Question: project management 485 - information logistic answer the question step-by-step clearly don't forget anything with a clear font a. Find and label each path for
project management 485 - information logistic
answer the question step-by-step clearly don't forget anything with a clear font
a. Find and label each path for the network diagram on the page of the network diagram b. Find the total float for each path and put it beside the path. (IE Path ABCD = TS 4 where TS is the total slack or total float for path ABCD) c. Find the critical path for the network diagram. Remember: It will have a TS of 0


Step by Step Solution
There are 3 Steps involved in it
Get step-by-step solutions from verified subject matter experts
