Question: project management please Q2. Read the below situation case on X-cite, Alghanim Electronics: X-cite is one of the fargest multi-brand electronics retailer operating in Kuwait,
project management please
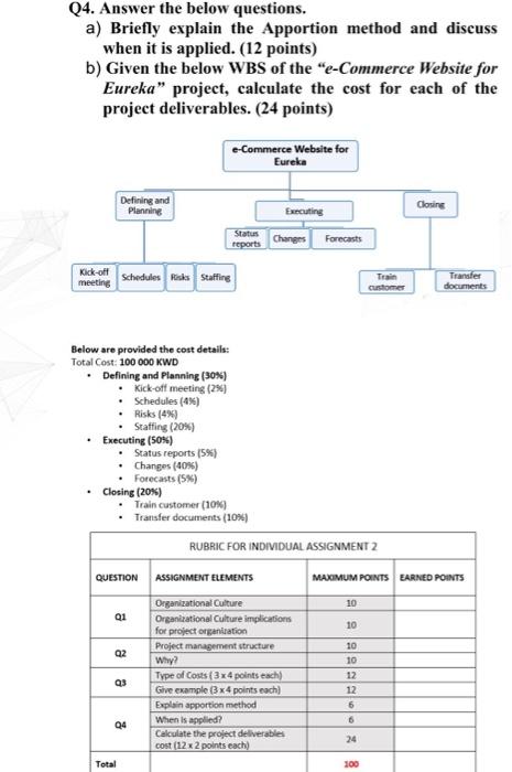
Q2. Read the below situation case on X-cite, Alghanim Electronics: X-cite is one of the fargest multi-brand electronics retailer operating in Kuwait, which collaborates with more than 300 global brands. The company is part of the Afghanim Industries, one of the largest, privately-owned companies in the Gulf region X-cite would like to introduce a new projects which aims to improve the online shopping experience by offering its customers the possibility to personalize the products based on their preferences. As a result , the customer may specify the electronic products attributes (color, dimensions, and technical capabilities) and then by means of Virtual Reality and Augmented Reality, envision how the particular electronic product will look like, before making a decision to order it. What kind of project management structure would you recommend X-cite to use for this project? Explain why (20 points) Q3. Identify and explain the different kind of costs that are related to the projects. Provide examples for each type of the cost. (24 points) Q4. Answer the below questions. a) Briefly explain the Apportion method and discuss when it is applied. (12 points) b) Given the below WBS of the "e-Commerce Website for Eureka project, calculate the cost for each of the project deliverables. (24 points) e-Commerce Website for Eureka Defining and Planning Executing Closing Status Kick-off meeting Schedules Risks Staffing Train customer Transfer documents Q4. Answer the below questions. a) Briefly explain the Apportion method and discuss when it is applied. (12 points) b) Given the below WBS of the "e-Commerce Website for Eureka" project, calculate the cost for each of the project deliverables. (24 points) e-Commerce Website for Eureka Defining and Planning Closing Executing Status reports Changes Forecasts Kick-off meeting Schedules Risks Staffing Train customer Transfer documents Below are provided the cost details: Total Cost: 100 000 KWD Defining and Planning (30%) Kick-off meeting (29) Schedules (4%) Risks (4%) Staffing (20%) Executing (50%) Status reports (5%) Changes (40%) Forecasts (5%) Closing (20%) Train customer (10%) Transfer documents (109) RUBRIC FOR INDIVIDUAL ASSIGNMENT 2 QUESTION ASSIGNMENT ELEMENTS MAXIMUM POINTS EARNED POINTS Organizational Culture 10 Q1 Organizational Culture implications 10 for project organization Project management structure 10 Why? 10 Type of Costs (3x4 points each) 12 Give example Bx4 points each) 12 Explain apportion method 6 Q4 When is applied? Calculate the project deliverables 24 cost (12 x 2 points cach) Total 100 02 03 6 2

Step by Step Solution
There are 3 Steps involved in it
1 Expert Approved Answer
Step: 1 Unlock
Question Has Been Solved by an Expert!
Get step-by-step solutions from verified subject matter experts
Step: 2 Unlock
Step: 3 Unlock
