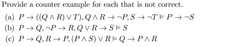
Question: Provide a counter example for each that is not correct. (a) P- ((QAR) VT), QAR- -PS - - T F P - -S (b) P

Step by Step Solution
There are 3 Steps involved in it
1 Expert Approved Answer
Step: 1 Unlock
Question Has Been Solved by an Expert!
Get step-by-step solutions from verified subject matter experts
Step: 2 Unlock
Step: 3 Unlock
