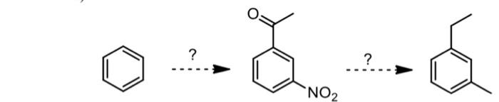
Question: . Provide reagents and intermediate structures for the following transformations ? ? NO2
. Provide reagents and intermediate structures for the following transformations
? ? NO2
Step by Step Solution
There are 3 Steps involved in it
1 Expert Approved Answer
Step: 1 Unlock
Question Has Been Solved by an Expert!
Get step-by-step solutions from verified subject matter experts
Step: 2 Unlock
Step: 3 Unlock
