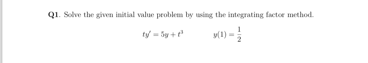
Question: Q 1 . Solve the given initial value problem by using the integrating factor method. t y ' = 5 y + t 3 ,
Q Solve the given initial value problem by using the integrating factor method.
Step by Step Solution
There are 3 Steps involved in it
1 Expert Approved Answer
Step: 1 Unlock
Question Has Been Solved by an Expert!
Get step-by-step solutions from verified subject matter experts
Step: 2 Unlock
Step: 3 Unlock
