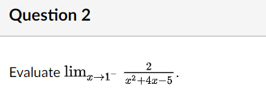
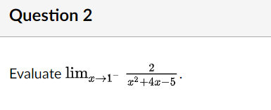
Question: Question 1 I'-3x-4 Determine lime--1 If it doesn't exist, explain why. 2-4x-5fQuestion 3 Use the definition of the derivative to find the derivative of f(x)












Question 1 I'-3x-4 Determine lime--1 If it doesn't exist, explain why. 2-4x-5\fQuestion 3 Use the definition of the derivative to find the derivative of f(x) = 2x2 + -3x + 3. Question 4 If limx->-2 f(x)= 1 and lime-+4 f(@ )=3 then what is 1+limr+ 2 f(x). 2-limp +4 f(x)Question 5 212 -2x-4 Evaluate lim,-00 3x2-72+12Question 6 0 pts Find the equation of the tangent line to the function f(x) = -1 / x2 at x = 1. Question 7 0 pts The profit generated from the sale of x units of a product is R(x) = 4x2 - 12x - 100. Find a formula for the profit revenue per unit and the marginal average profit. Question 8 0 pts If g(x) = In(a) find dy and Ay if dx = Ax = 0.3 at x = 2.
Step by Step Solution
There are 3 Steps involved in it
Get step-by-step solutions from verified subject matter experts
