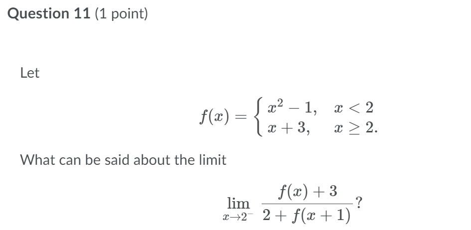
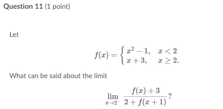
Question: Question 11 (1 point) Let f($){:1:21,3: Question 11 (1 point) Let f@) What can be said about the limit lim




Question 11 (1 point) Let f($){:1:21,3:
Question 11 (1 point) Let f@) What can be said about the limit lim
Step by Step Solution
There are 3 Steps involved in it
Get step-by-step solutions from verified subject matter experts
