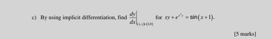
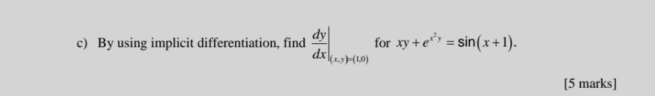
Question: question 1C please answer this question c) By using implicit differentiation, find dy for xy tex's = sin (x+ 1). dx (x. y)- (1,0) [5

question 1C please answer this question

c) By using implicit differentiation, find dy for xy tex's = sin (x+ 1). dx (x. y)- (1,0) [5 marks]
Step by Step Solution
There are 3 Steps involved in it
Get step-by-step solutions from verified subject matter experts
