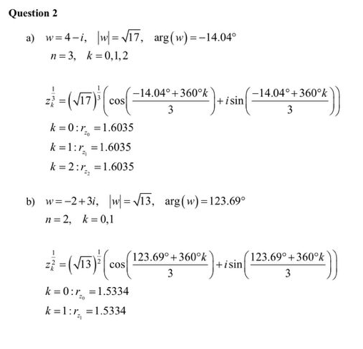
Question: Question 2 Find the roots for the given complex numbers. Hence, show that the roots lies on one circle. a) 7' =4-i, find z3. b)




Question 2 Find the roots for the given complex numbers. Hence, show that the roots lies on one circle. a) 7' =4-i, find z3. b) z' +2=3i, find z?Question 2 a) w=4-1, w=v17, arg(w)=-14.040 n =3, k =0,1,2 27 = (V17) cos -14.04 + 360k + isin -14.04+360k 3 3 k =0:r. =1.6035 k=1: =1.6035 k =2:1 =1.6035 b) w=-2+3/, w=v13, arg(w) =123.69 n =2, k=0,1 (V13)3 123.69"+360k cos + isin 123.690 +3604 3 3 k =0:1 =1.5334 k=1: =1.5334
Step by Step Solution
There are 3 Steps involved in it
Get step-by-step solutions from verified subject matter experts
