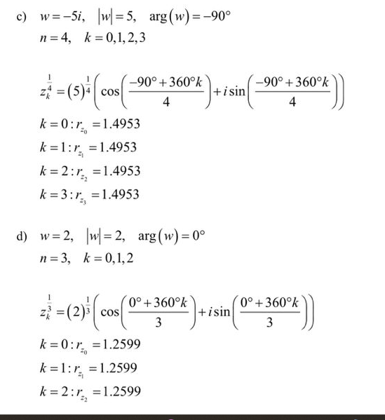
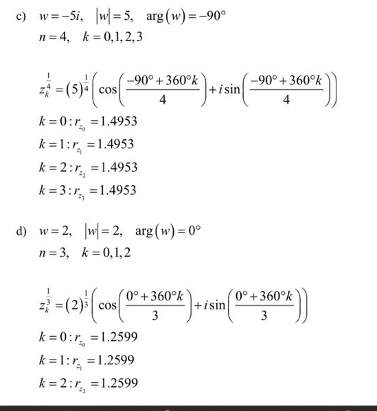
Question: Question 2 Find the roots for the given complex numbers. Hence, show that the roots lies on one circle. Question 2 Find the roots for




Question 2 Find the roots for the given complex numbers. Hence, show that the roots lies on one circle.
Question 2 Find the roots for the given complex numbers. Hence, show that the roots lies on one circle.
Step by Step Solution
There are 3 Steps involved in it
Get step-by-step solutions from verified subject matter experts
