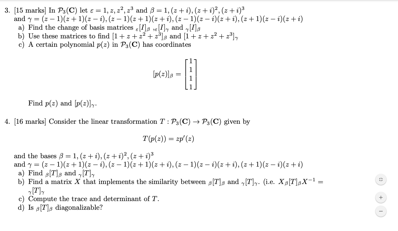
Question: Question 3 and 4 3. [15 marks] In P3 (C) let & = 1, z, z2, 23 and B = 1, (z + i), (z
Question 3 and 4
![Question 3 and 4 3. [15 marks] In P3 (C) let & =](https://dsd5zvtm8ll6.cloudfront.net/si.experts.images/questions/2025/02/67a87db6992b1_47867a87db67949b.jpg)
Step by Step Solution
There are 3 Steps involved in it
1 Expert Approved Answer
Step: 1 Unlock
Question Has Been Solved by an Expert!
Get step-by-step solutions from verified subject matter experts
Step: 2 Unlock
Step: 3 Unlock
