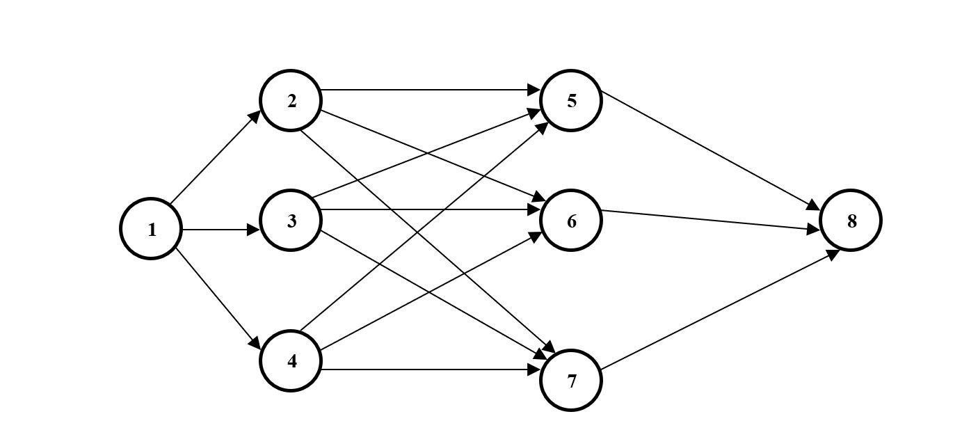
Question: Question 5: Shown are the probabilistic activity time estimates for the CPM/PERT network: For all results, arrange data (in table format like below) to calculate

Question 5: Shown are the probabilistic activity time estimates for the CPM/PERT network:
For all results, arrange data (in table format like below) to calculate the following:
- Expected Times for each activity
- Each Activity Variances
- Every activity: LS, ES, LF, EF (when figuring out the latest and earliest finish times, redraw the network)
- Every activity: Slack
| Activity | Time estimates | Expected Time | Activity Variance | Latest Start Time (LS) | Earliest Start Time (ES) | Latest Finish Time (LF) | Earliest Finish Time (EF) | Slack | ||
| a | m | b |
|
|
|
|
|
|
| |
| 1 | 1 | 2 | 6 |
|
|
|
|
|
|
|
| 2 | 1 | 3 | 5 |
|
|
|
|
|
|
|
| 3 | 3 | 5 | 10 |
|
|
|
|
|
|
|
| 4 | 3 | 6 | 14 |
|
|
|
|
|
|
|
| 5 | 2 | 4 | 9 |
|
|
|
|
|
|
|
| 6 | 2 | 3 | 7 |
|
|
|
|
|
|
|
| 7 | 1 | 2 | 3 |
|
|
|
|
|
|
|
| 8 | 1 | 3 | 5 |
|
|
|
|
|
|
|
Step by Step Solution
There are 3 Steps involved in it
Get step-by-step solutions from verified subject matter experts
