Question: Question: 7. Suppose that f : [a, b] - R is a bounded Riemann integrable function. Define the area function for f by Af(20) =
![Question: 7. Suppose that f : [a, b] - R is](https://s3.amazonaws.com/si.experts.images/answers/2024/06/66637a44493ea_39666637a4432efc.jpg)


Question:



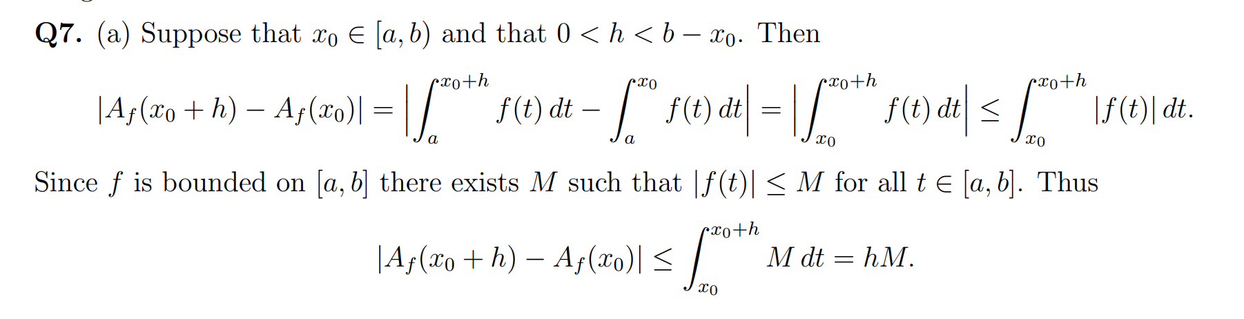
7. Suppose that f : [a, b] - R is a bounded Riemann integrable function. Define the area function for f by Af(20) = f (t) dt. a a Prove that for any xo E [a, b), Af is right continuous at Co.Q7. (a) Suppose that To E [a, b) and that 0 Af(xo). That is Af is right continuous at Co
Step by Step Solution
There are 3 Steps involved in it
1 Expert Approved Answer
Step: 1 Unlock
Question Has Been Solved by an Expert!
Get step-by-step solutions from verified subject matter experts
Step: 2 Unlock
Step: 3 Unlock
