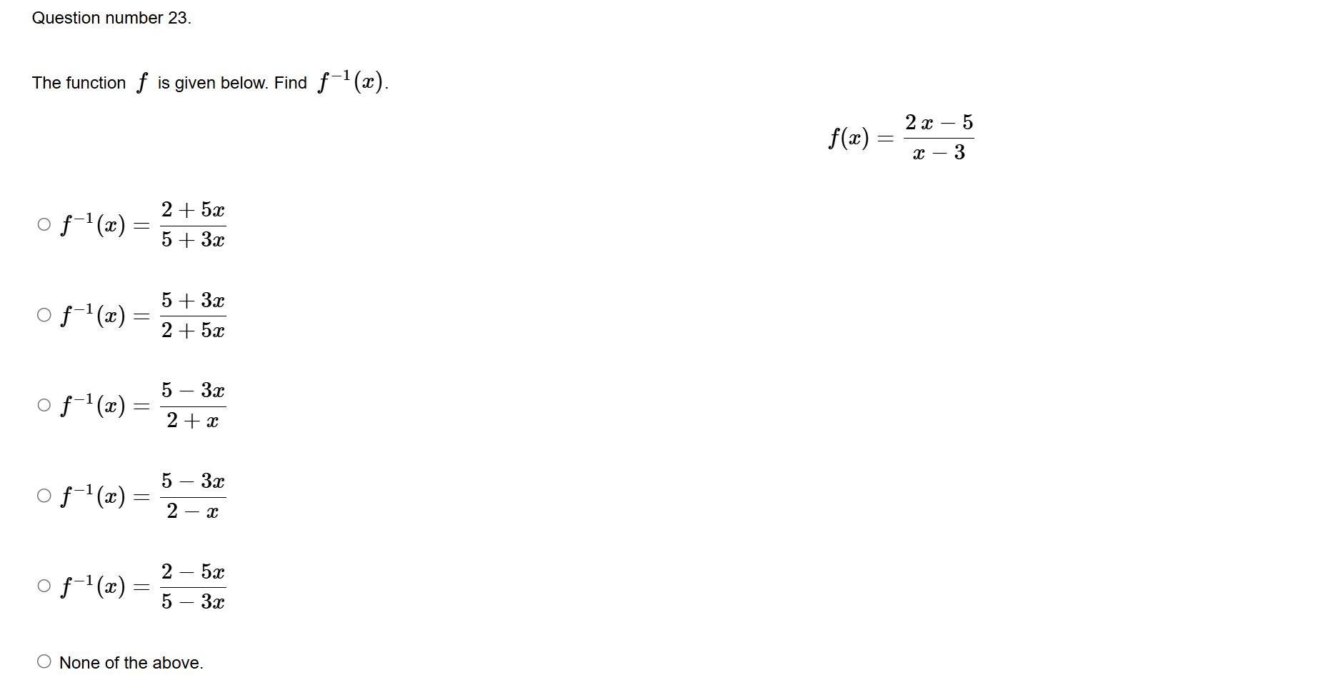
Question: Question number 2 3 . The function f i s given below. Find f - 1 ( x ) . f ( x ) =
Question number
The function given below. Find
None the above.
Step by Step Solution
There are 3 Steps involved in it
1 Expert Approved Answer
Step: 1 Unlock
Question Has Been Solved by an Expert!
Get step-by-step solutions from verified subject matter experts
Step: 2 Unlock
Step: 3 Unlock
