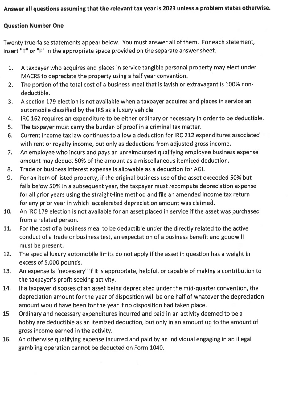
Question: Question Number One Twenty true - false statements appear below. You must answer all of them. For each statement, insert T or
Question Number One
Twenty truefalse statements appear below. You must answer all of them. For each statement, insert T or F in the appropriate space provided on the separate answer sheet.
Answer all questions assuming that the relevant tax year is unless a problem states otherwise.
Question Number One
Twenty truefalse statements appear below. You must answer all of them. For each statement,
insert T or F in the appropriate space provided on the separate answer sheet.
A taxpayer who acquires and places in service tangible personal property may elect under
MACRS to depreciate the property using a half year convention.
The portion of the total cost of a business meal that is lavish or extravagant is non
deductible.
A section election is not available when a taxpayer acquires and places in service an
automobile classified by the IRS as a luxury vehicle.
IRC requires an expenditure to be either ordinary or necessary in order to be deductible.
The taxpayer must carry the burden of proof in a criminal tax matter.
Current income tax law continues to allow a deduction for IRC expenditures associated
with rent or royalty income, but only as deductions from adjusted gross income.
An employee who incurs and pays an unreimbursed qualifying employee business expense
amount may deduct of the amount as a miscellaneous itemized deduction.
Trade or business interest expense is allowable as a deduction for AGI.
For an item of listed property, if the original business use of the asset exceeded but
falls below in a subsequent year, the taxpayer must recompute depreciation expense
for all prior years using the straightline method and file an amended income tax return
for any prior year in which accelerated depreciation amount was claimed.
An IRC election is not available for an asset placed in service if the asset was purchased
from a related person.
For the cost of a business meal to be deductible under the directly related to the active
conduct of a trade or business test, an expectation of a business benefit and goodwill
must be present.
The special luxury automobile limits do not apply if the asset in question has a weight in
excess of pounds.
An expense is "necessary" if it is appropriate, helpful, or capable of making a contribution to
the taxpayer's profit seeking activity.
If a taxpayer disposes of an asset being depreciated under the midquarter convention, the
depreciation amount for the year of disposition will be one half of whatever the depreciation
amount would have been for the year if no disposition had taken place.
Ordinary and necessary expenditures incurred and paid in an activity deemed to be a
hobby are deductible as an itemized deduction, but only in an amount up to the amount of
gross income earned in the activity.
An otherwise qualifying expense incurred and paid by an individual engaging in an illegal
gambling operation cannot be deducted on Form
A selfemployed individual may deduct qualifying travel expenses incurred in hisher
trade or business activity as a deduction "for adjusted gross income."
Taxpayers filing a joint Form may not claim a deduction for student loan interest expense.
To be "ordinary" under IRC an expense should be must be habitual or recurring.
Under IRC the "all events test" is satisfied as soon as all events establishing the
existence of a liability have occurred.
Step by Step Solution
There are 3 Steps involved in it
1 Expert Approved Answer
Step: 1 Unlock
Question Has Been Solved by an Expert!
Get step-by-step solutions from verified subject matter experts
Step: 2 Unlock
Step: 3 Unlock
