Question: Reference: 4. Let X1, ..., Xn be iid Normal (0, 02) (pdf: (1/(ov27)) exp(-x2/(202)). Find c > 0 such that T = c(Zn, X?) /
Reference:


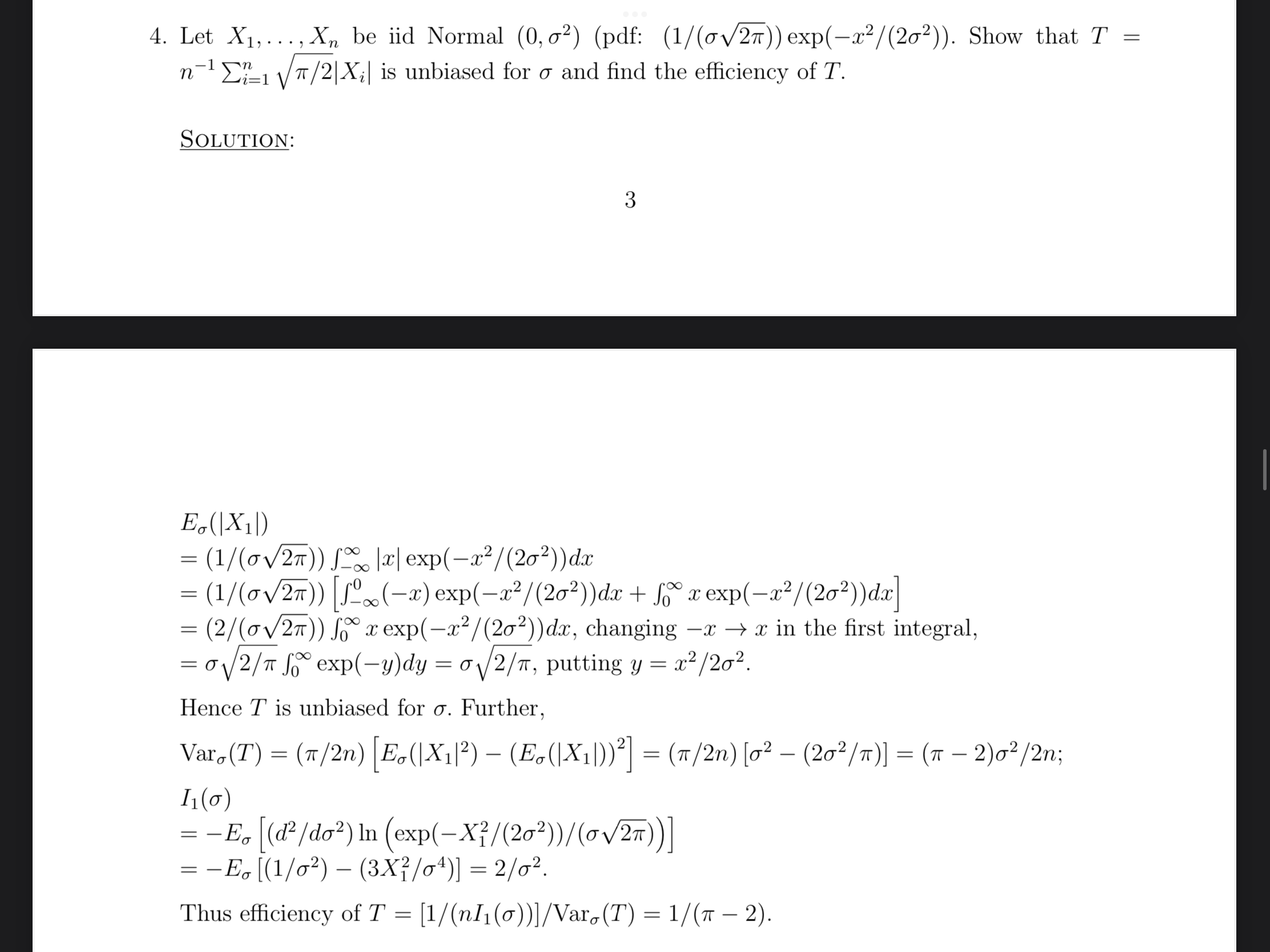
4. Let X1, ..., Xn be iid Normal (0, 02) (pdf: (1/(ov27)) exp(-x2/(202)). Find c > 0 such that T = c(Zn, X?) / is unbiased for o and find the efficiency of T.4. Let X1, . .., Xn be iid Normal (0, o2) (pdf: (1/(ov27)) exp(-x2/(202)). Show that T = n-Eh-1 7/2|Xi| is unbiased for o and find the efficiency of T. SOLUTION: 3 E.(IXII) = (1/(0V27)) So |2| exp(-22/(202) ) dac = (1/(0V27)) S' (-2) exp(-x2/(202) ) da + fo xe exp(-22/(202)) dac = (2/(0V27)) for x exp(-x2/(202)) dx, changing -x - x in the first integral, = 0 2 So exp(-y)dy = 0\\2/7, putting y = x2/202. Hence T is unbiased for o. Further, Var. (T) = (7/2n) E.(1X1 12) - (E.(IXII))?] = (7/2n) 102 - (202/7)] = (7 - 2)02/2n; 11(0) = -E. (d2 / do2) In (exp(-X?/(202))/ (0V27) ) = -E. [(1/02) - (3X3/04)] = 2/02. Thus efficiency of T = [1/(nl1(o))]/Var. (T) = 1/ (7 - 2)
Step by Step Solution
There are 3 Steps involved in it
Get step-by-step solutions from verified subject matter experts
