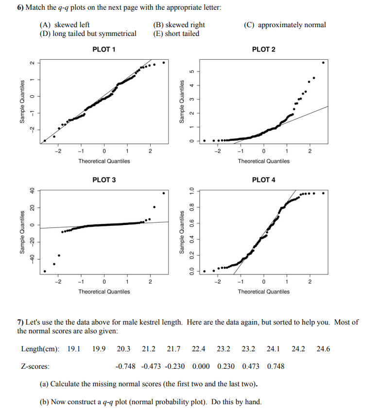
Question: Sample Quantiles 40 -40 -20 0 20 20 6) Match the q-q plots on the next page with the appropriate letter: (A) skewed left

Sample Quantiles 40 -40 -20 0 20 20 6) Match the q-q plots on the next page with the appropriate letter: (A) skewed left (D) long tailed but symmetrical (B) skewed right (E) short tailed (C) approximately normal Sample Quantiles 1- 0 1 2 2- -2 -1 PLOT 1 -2 -1 0 1 2 Theoretical Quantiles 0 PLOT 3 Theoretical Quantiles 1 2 0.2 0.4 0.6 0.8 1.0 Sample Quantiles 00 0.0 2 Sample Quantiles L 0 3 4 5 -2 -1 PLOT 2 Theoretical Quantiles PLOT 4 -1 0 1 2 Theoretical Quantiles 1 2 7) Let's use the the data above for male kestrel length. Here are the data again, but sorted to help you. Most of the normal scores are also given: Length(cm): 19.1 19.9 20.3 21.2 21.7 22.4 23.2 23.2 24.1 Z-scores: -0.748 -0.473 -0.230 0.000 0.230 0.473 0.748 (a) Calculate the missing normal scores (the first two and the last two). (b) Now construct a q-q plot (normal probability plot). Do this by hand. 24.2 24.6 For all these problems you need to clearly state Ho, H, give a (if not given), and clearly state your conclusion (in words!). 1) Use R for all parts of this problem. Use the data on heights you collected a few weeks ago. (a) Do a t-test and test the following: Ho: =y for your recitation section vs. H: y Use a = .01 (if, for example, your y = 64.72, then you would do Ho: = 64.72) (c) now repeat but add 4.75 to your (so you'd do Ho: =69.47 (= 64.72 +4.75)) (d) repeat (c) but use a = .00000000001 (but see part (e) before you do this). (e) Why do you not need to tell R about a? Make sure you understand this!! (f) what kind of error did you probably make in part (d)? (Just write out the answer for this question). R instructions: To test, for example, that = 64.72, you need to give R the value of : t.test(height,mu = 64.72) (assuming you named your variable "height"; of course, you may have to do data$height or something similar depending on how you have your data in R). Since R gives you p-values (= probabilities) you don't need to calculate or use r* (although R automatically prints this if you want to use it). Do not use R for the rest of the problems: 2) You want to figure out if there is a difference in lengths between male and female kestrels (kestrels are small falcons found all over Northern Virginia). You catch 12 females and 11 males with the following results (in cm): Females: Males: 27.7 25.4 26.4 28.5 27.4 28.0 28.7 26.7 25.6 25.3 27.5 27.8 20.3 24.1 24.6 23.2 22.4 23.2 21.2 24.2 19.1 19.9 21.7 (a) Is there a difference in lengths? Use a = .01. Note that you have to calculate everything yourself. Make sure you give Ho and H (symbols are okay), and clearly write out your conclusion.
Step by Step Solution
There are 3 Steps involved in it
Get step-by-step solutions from verified subject matter experts
