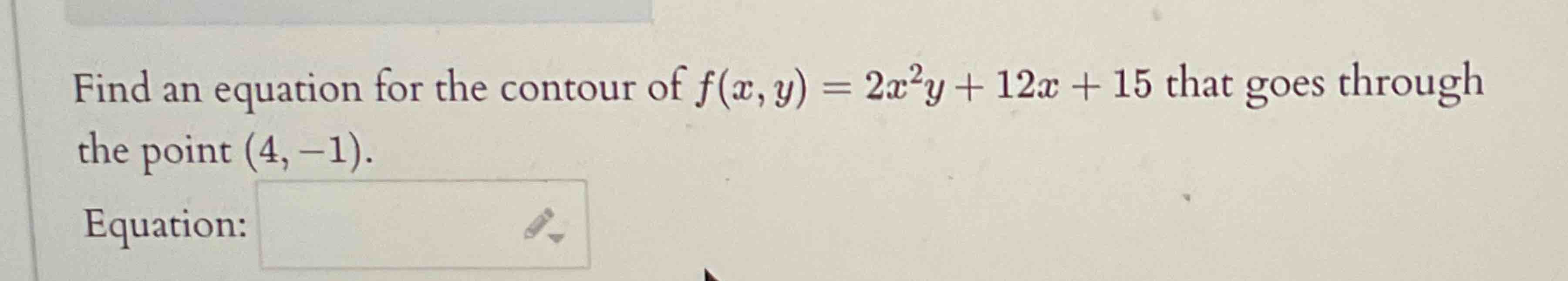
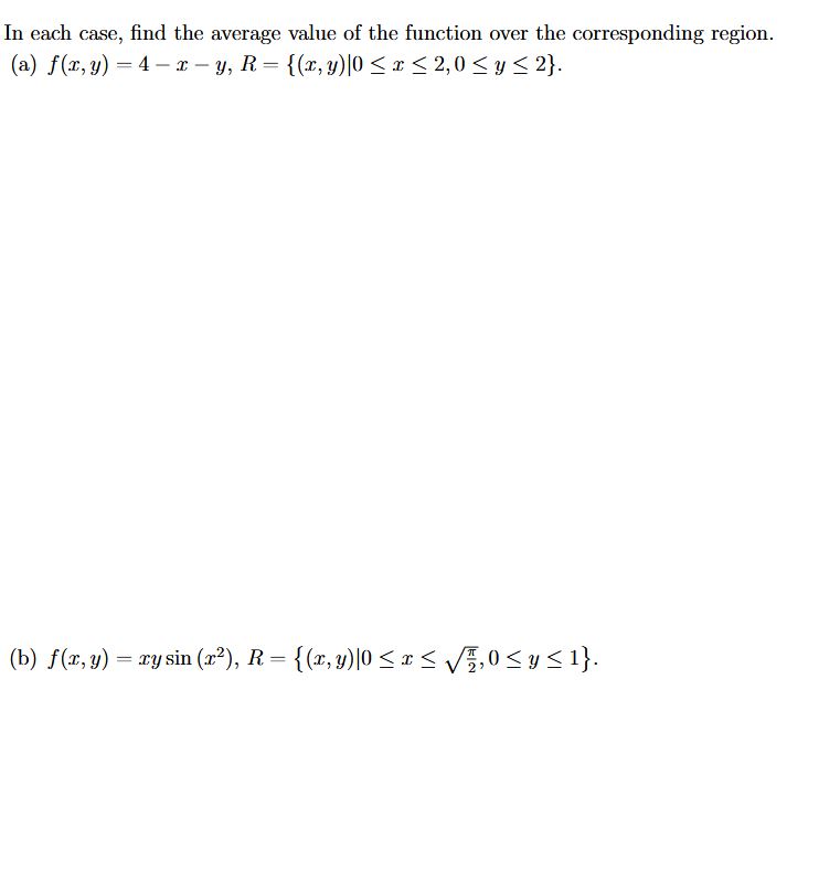
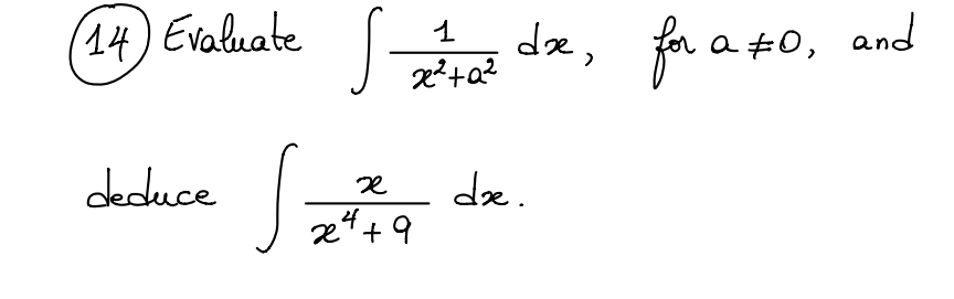
Mathematics Questions and Answers June 26, 2018

Expert-verified solutions to help you succeed

Showing 100 - 200 of 1501
  • 2 / 16