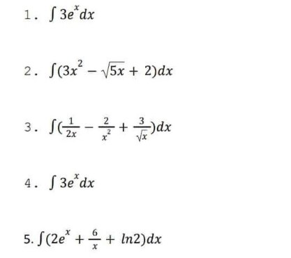
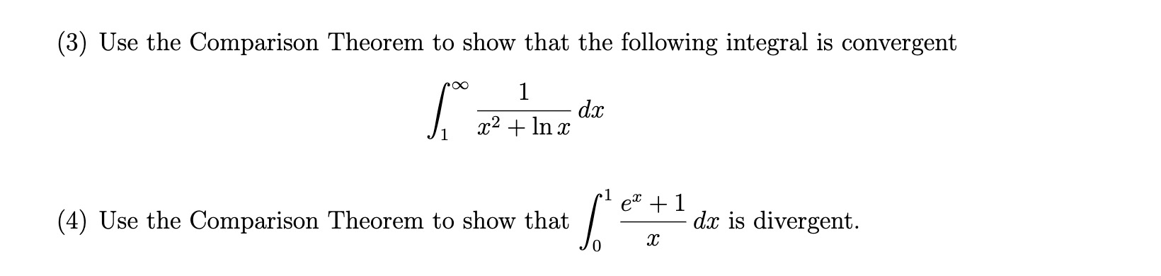
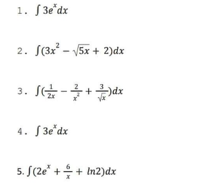
Mathematics Questions and Answers November 14, 2019

Expert-verified solutions to help you succeed

Showing 500 - 600 of 1500
  • 6 / 15