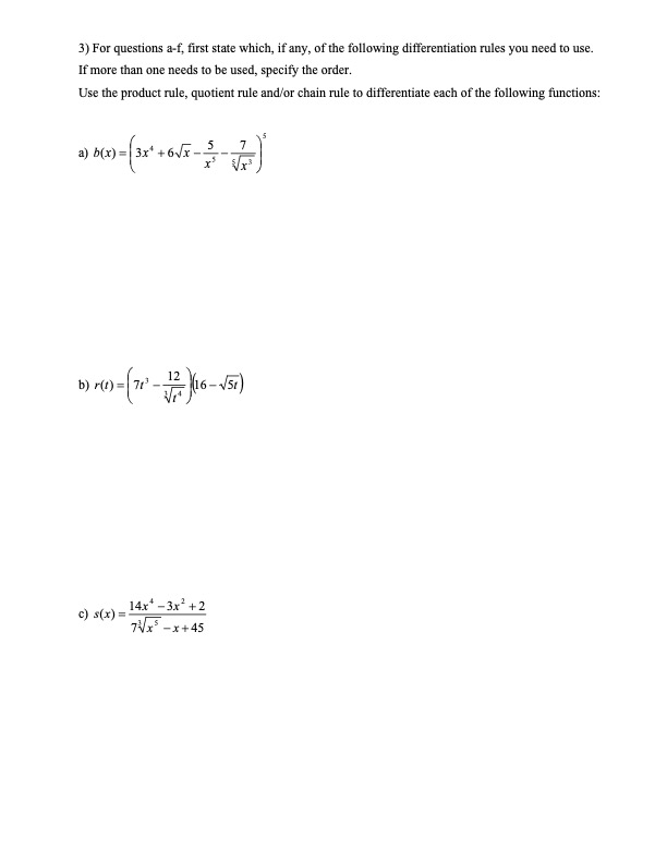
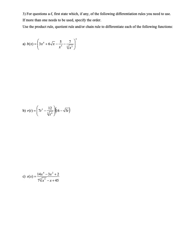
Mathematics Questions and Answers September 16, 2019

Expert-verified solutions to help you succeed

Showing 1200 - 1300 of 1504
  • 13 / 16